高级检索

置氢TA10合金焊接接头组织和高温压缩性能

Microstructure and high-temperature compression performance of the hydrogenated titanium alloy welded joint

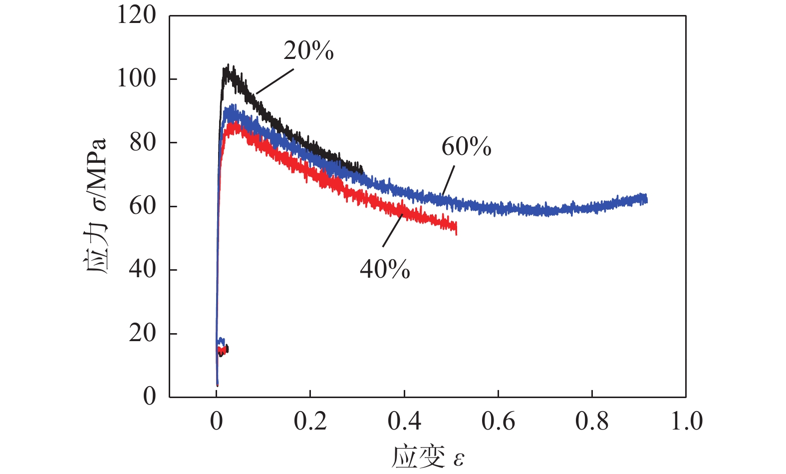
  • 摘要: 航改燃气轮机焊接修复的钛合金叶片服役于含氢环境中常发生氢脆损伤. 试验重点研究了不同置氢量的钛合金氩弧焊接头的微观组织、维氏硬度及氢作用机理、高温压缩性能. 结果表明,置氢0.12%(质量分数)焊接接头组织中析出大层片δ氢化物,其尺寸随H元素含量增加而增大,母材、热影响区及焊缝微观组织发生明显改变;置氢0.21%的硬度明显高于其它置氢量,高氢提升焊接接头硬度;低氢时氢固溶强化使α晶粒硬度略提升,高氢时氢化物析出伴随晶格体积膨胀使金属局部塑性变形产生大量位错,位错运动需绕或切过氢化物,导致α晶粒硬度明显提升. 压下量对高温压缩流变应力影响有限,再结晶软化作用主要受变形温度控制,随压下量增大,焊缝组织中层片α晶粒连同氢化物沿垂直压下方向被拉长或与压下方向呈一定角度被弯折,氢化物沿层片α晶界生长,热压缩过程中组织再结晶现象不明显.

     

    Abstract: Titanium alloy blades repaired by welding in aero-derivative gas turbines often suffer from hydrogen embrittlement damage during service in hydrogen containing environments. The microstructure, Vickers hardness and hydrogen action mechanism, high-temperature compression performance of titanium alloy argon arc welded joints with different hydrogen content were studied in detail. The results show that large lamellar of δ hydride precipitated from the 0.12% H welded joint, with the increase of hydrogen content, the size of the hydride increased, and the microstructure of base metal, heat affected zone and weld zone evolved significantly. The hardness value of the 0.21% H was significantly higher than that of other hydrogen levels, and high hydrogen enhanced the hardness of the welded joint. The H solid solution strengthening effect at low hydrogen levels slightly increased the hardness of α grains. The precipitation of hydrides at high hydrogen levels was accompanied by lattice volume expansion, which caused local plastic deformation of the metal and subsequently generated a large number of dislocations. The movement of dislocations required winding or cutting through hydrides, which caused a significant increase in the hardness of α grains. The amount of compression had limited influence on the high-temperature compression rheological stress, and the recrystallization softening effect was mainly controlled by the deformation temperature. As the amount of compression increased, the α grains along with hydrides were elongated along the vertical compression direction or bent at a certain angle with the compression direction. The hydride grew along the grain boundaries of lamellar α, and the phenomenon of tissue recrystallization was not obvious during hot compression.

     

/

返回文章
返回