高级检索

基于神经常微分方程的射线检测焊接缺陷识别

Radiographic detection of welding defects based on neural ordinary differential equations

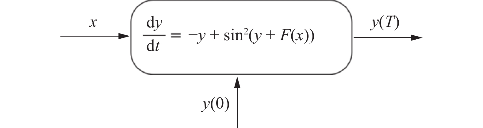
  • 摘要: 针对射线检测(radiographic testing, RT)过程中底片评定存在主观性强、工作强度大、劳动重复性高、效率低等问题,基于深度学习理论,提出一种基于神经记忆常微分方程(neural memory Ordinary Differential Equation, nmODE)的残差网络模型对焊缝缺陷进行客观、准确、智能分类. 研究搜集裂纹、未熔合、未焊透、内凹、咬边、夹渣和气孔7类缺陷的RT底片图像组建数据集,以保证缺陷的多样性,并进行图像预处理和扩充;首先对典型人工神经网络ResNet18,ResNet34,ResNet50和ResNet101进行训练,选择准确率最高的ResNet34模型作为主干网络;然后基于nmODE 非线性映射能力,提出网络模型nmODE-ResNet. 结果表明,相比于ResNet34,nmODE-ResNet在不增加参数量前提下,焊缝RT底片缺陷7分类任务中识别准确率提高1.56%. 人工评判对比试验表明,nmODE-ResNet总体识别准确率与检验师平均水平相当.

     

    Abstract: Aiming at the problems of strong subjectivity, high work load, repetitive tasks, and low efficiency in defects evaluation in the process of radiographic testing (RT), a neural memory ordinary differential equations based residual network model was proposed in this paper, for the objective, accurate, and intelligent classification of weld defects. The data set of defect images containing 7 types of defects including crack, lack of fusion, incomplete penetration, concave, undercut, slag inclusion, and porosity was collected to ensure the diversity of defects, and the corresponding image preprocessing and expansion was carried out. The typical artificial neural networks, ResNet18, ResNet34, ResNet50, and ResNet101, were iteratively trained. The ResNet34 model got the highest accuracy and was selected as the backbone network to avoid under-learning or overfitting. Then, the nmODE-ResNet was built to improve the classification performance by exploring the excellent nonlinear mapping ability of the nmODE module. The experimental results show that, compared to ResNet34, nmODE-ResNet can significantly improve the accuracy of defect classification in the seven-classification task on RT images of welds’ defects by 1.56% without increasing the number of parameters, and the performance is comparable to that of qualified inspectors.

     

/

返回文章
返回