高级检索

热输入对吉帕钢CGHAZ低温冲击韧性影响机理

Influence mechanism of heat input on the low-temperature impact toughness of the coarse grain heat affected zone of ultra-strength steel

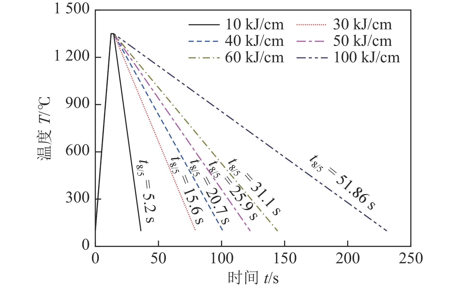
  • 摘要: 为研究热输入影响吉帕钢粗晶热影响区(coarse grain heat affected zone,CGHAZ)低温冲击韧性的本质原因,采用热模拟技术制备CGHAZ模拟试样,结合示波冲击试验和光学显微镜(optical microscope,OM)、电子背散射衍射(electron backscattered diffraction,EBSD)的组织定量表征方法,分析了微观组织和晶粒尺寸对冲击韧性的影响规律. 结果表明,随着热输入增大,在27 ~ 53 kJ/cm组织含量变化显著;在30 ~ 40 kJ/cm原始奥氏体晶粒(prior austenite grain,PAG)快速长大;在50 ~ 60 kJ/cm大角度晶界(high angle grain boundary,HAGB)频率快速升高且有效晶粒(effective grain,EG)直径快速下降. 热输入为10 kJ/cm时,呈现脆性断裂;热输入为30和100 kJ/cm时,表现为韧性断裂;热输入为40和50 kJ/cm时,处于韧—脆断裂的过渡状态. 热输入处于10 ~ 30 kJ/cm和60 ~ 100 kJ/cm时,CGHAZ低温冲击韧性主要受组织含量影响;热输入处于30 ~ 60 kJ/cm时,CGHAZ低温冲击韧性的主要影响因素从PAG直径向HAGB频率和EG直径转变.

     

    Abstract: To investigate the essential reasons for the effect of heat input on the low-temperature impact toughness of the CGHAZ of Ultra-strength steel, the CGHAZ simulation specimens were prepared by using the thermal simulation. Combined with the instrumented impact test and the quantitative characterization methods of microstructure by OM and EBSD, the influence of microstructure and grain size on impact toughness was analyzed. The results show that with the increase of heat input, the content of microstructure changes significantly in the range of 27 - 53 kJ/cm; the PAG grows rapidly in the range of 30 - 40 kJ/cm; the frequency of HAGB increases rapidly and the diameter of EG decreases rapidly in the range of 50 - 60 kJ/cm. When the heat input is 10 kJ/cm, brittle fracture occurs; when the heat input is 30 and 100 kJ/cm, ductile fracture occurs; when the heat input is 40 and 50 kJ/cm, it is in the transition state of ductile-brittle fracture. When the heat input is in the range of 10 - 30 kJ/cm and 60 - 100 kJ/cm, the low-temperature impact toughness of CGHAZ is mainly affected by the content of microstructure; when the heat input is in the range of 30 - 60 kJ/cm, the main influencing factors of the low-temperature impact toughness of CGHAZ change from the diameter of PAG to the frequency of HAGB and the diameter of EG.

     

/

返回文章
返回