高级检索

基于匙孔传热与能量衰减的半物理半智能热源模型

A semi-physical and semi-intelligent heat source model based on keyhole heat transfer and energy attenuation

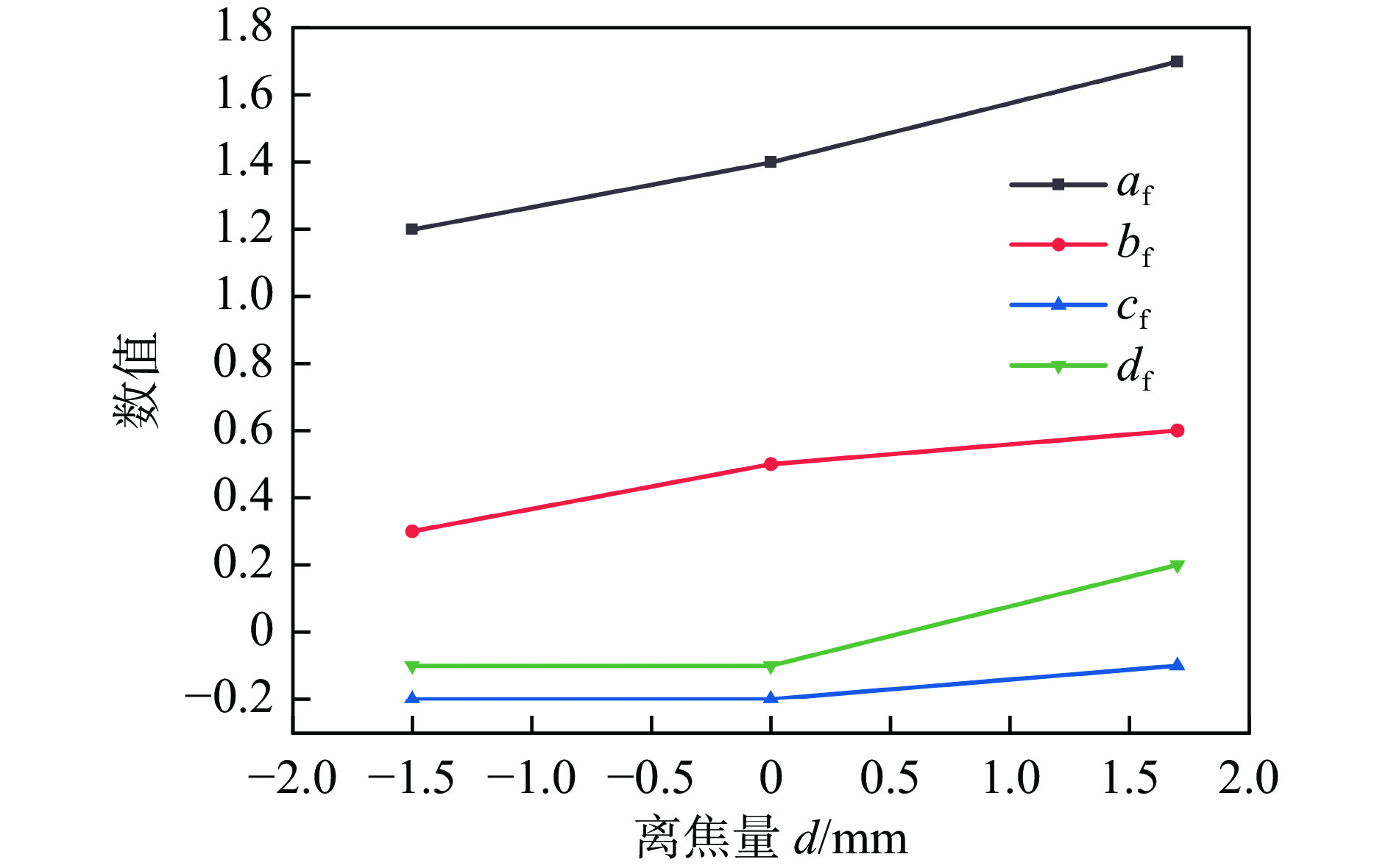
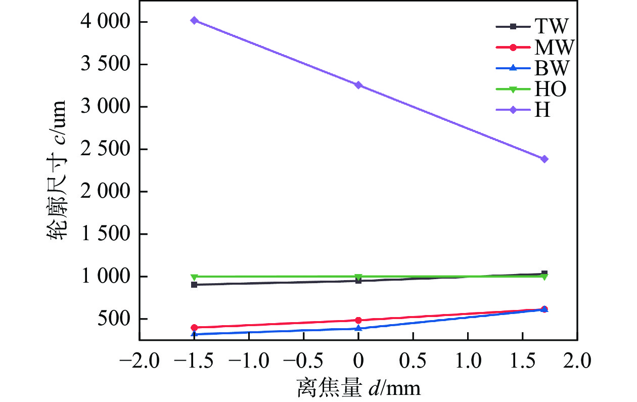
  • 摘要: 激光焊热源模型目前主要以随几何区域分布能量密度的形式加载,其模型准确性与能量分布的几何区域尺寸密切联系,但缺少与激光工艺参数和物理机制的映射关系,难用于构建激光工艺装备的数字孪生技术. 针对该问题,文中探索一种基于激光焊匙孔传热与能量衰减的半物理半智能热源模型,首先,依据激光焊匙孔形成的传热物理机制,通过算法确定激光能量分布的非线性几何区域;然后,面向随激光沿材料深度方向的吸收率衰减现象,定义基于知识的非线性衰减曲线参量,用于表达激光能量的衰减部分规律,通过上述两者组合,实现半物理半智能热源模型的建立. 结果表明,通过316L不锈钢激光焊的试验与模拟,验证了热源模型的合理性与准确性,探究了热源模型参数与激光功率、离焦量、焊接速度的映射关系,为激光焊接工艺数字孪生实现奠定基础.

     

    Abstract: At present, the laser welding heat source model is mainly loaded in the form of energy density distribution in geometric regions, and its accuracy is closely related to the geometric region size of energy distribution. However, it lacks a mapping relationship with laser process parameters and physical mechanisms, making it difficult to use for constructing digital twin technology for laser process equipment. In response to this issue, a semi-physical and semi-intelligent heat source model based on laser welding keyhole heat transfer and energy attenuation was proposed. Firstly, based on the physical mechanism of heat transfer in laser welding keyhole formation, the nonlinear geometric region of laser energy distribution was determined through algorithms; Then, based on the absorption rate attenuation phenomenon of the laser along the depth direction of the material, a knowledge-based nonlinear attenuation curve parameter was defined to express the attenuation law of laser energy. By combining the above two methods, a semi-physical and semi-intelligent heat source model was established. The results verify the rationality and accuracy of the heat source model through experiments and simulations of 316L stainless steel laser welding. On this basis, the mapping relationship between heat source model parameters and laser power, defocus, and welding speed is explored, laying a foundation for the digital twin implementation of laser welding technology.

     

/

返回文章
返回