高级检索

微合金化显著改善414N硬面层抗氧化和抗热震性能及其机理

Significantly improved oxidation and thermal shock resistances of 414N hard-faced layer by microalloying and its mechanism

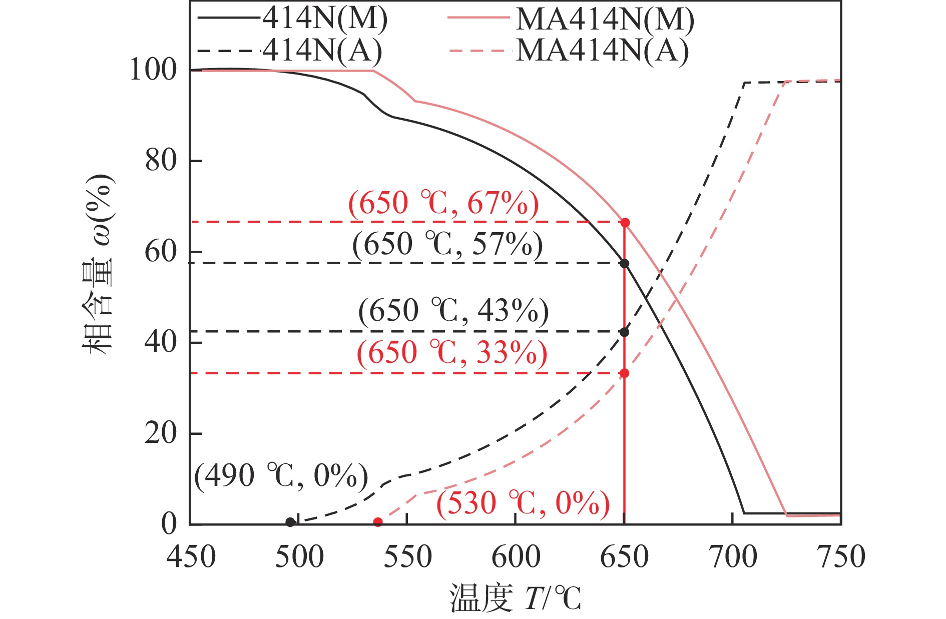
  • 摘要: 将Ti/Nb/V与Ce联合微合金化的MA414N焊丝用于连铸辊硬面层的堆焊,对比测试了MA414N(MA为microalloying的缩写)与未微合金化414N硬面层抗氧化和抗热震性能,通过透射电子显微镜(transmission electron microscope,TEM)、扫描电子显微镜(scanning electron microscope,SEM)/能谱仪(energy disperse X-ray,EDX)、X 射线衍射仪(X-ray diffraction,XRD)等分析方法研究微合金化对硬面层氧化、热震性能的影响及作用机理. 结果表明,MA414N的抗氧化、抗热震性能较414N得到显著改善,650 ℃氧化360 h时,MA414N氧化增重和氧化速率常数较414N分别降低16%和31%,热震循环300次时,MA414N热震表面损伤因子较414N显著下降53%. 热震裂纹的萌生和扩展受热应力、组织应力和氧化共同作用,MA414N的抗热震性能显著改善主要得益于第二相析出产生的强化,少的马氏体(M)与奥氏体(A)的组织转变,及结构相对稳定的氧化膜.

     

    Abstract: The microalloying 414N (MA414N) welding wire via Ti/Nb/V and Ce was used to weld the hard-faced layer of continuous casting roller, and the oxidation and thermal shock resistance of the MA414N hard-faced layer were compared with 414N hard-faced layer without microalloying. Transmission electron microscope (TEM), scanning electron microscope (SEM)/energy disperse X-ray (EDX), and X-ray diffraction (XRD) techniques were used to investigate the effect of microalloying on oxidation and thermal shock resistance of the hard-faced layer and its mechanism. The results show that the oxidation and thermal shock resistance of MA414N is significantly improved, compared to that of 414N. After oxidation for 360 h at 650 °C, the oxidation weight gain and oxidation rate constant of MA414N are reduced by 16% and 31%, respectively, compared to 414N; the surface damage factor of MA414N after 300 thermal shock cycles is significantly reduced by 53% compared to 414N. The initiation and propagation of thermal shock-induced cracks are affected by thermal stress, microstructure stress, and oxidation. The significant improvement of thermal shock resistance of MA414N is mainly due to the strengthening of the second phase precipitation, less microstructure transformation between M and A, and a relatively stable oxide film structure.

     

/

返回文章
返回