高级检索

涂敷SiC颗粒提高WAAM 2205双相不锈钢的力学和耐蚀性能

Enhancing mechanical properties and corrosion resistance through coating SiC during wire arc additive manufacturing of 2205 duplex stainless steel

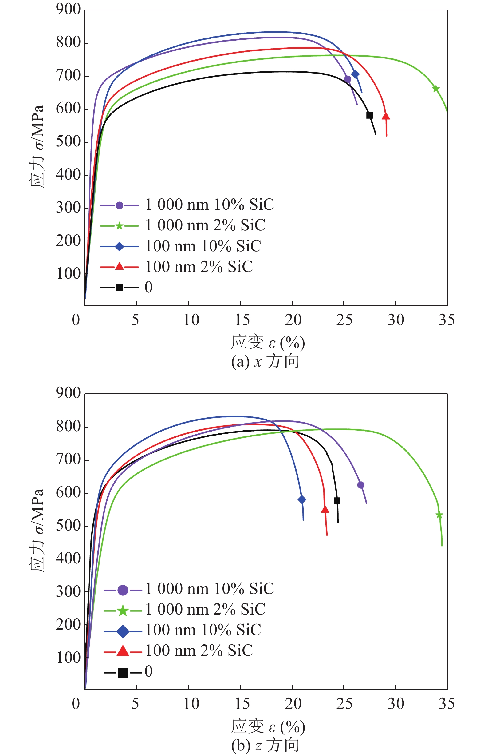
  • 摘要: 为解决电弧熔丝增材制造(WAAM)双相不锈钢中晶粒组织粗大和柱状晶外延生长,导致强度低、各向异性大和耐腐蚀性能下降问题,在WAAM 2205双相不锈钢中,将不同粒径 (100 nm和1000 nm) SiC颗粒制成含量为0,2%和10%(质量分数)的乙醇基悬浮液,并逐层涂覆添加到焊接熔池中.结果表明,涂覆添加SiC悬浮液后,WAAM 2205双相不锈钢两相比例更加平衡,沿堆叠方向粗大柱状晶变为较细等轴晶,晶粒取向织构强度明显降低.涂覆后试样在打印方向和堆叠方向的屈服强度和拉伸极限强度明显提高,涂覆100 nm 10% SiC颗粒乙醇悬浮液的试样在打印方向和堆叠方向的屈服强度分别提高7.75%和15.51%,抗拉强度分别提高8.96%和17.16%,且其屈服强度和拉伸极限强度的各向异性较未涂覆试样的7.50%和7.75%分别下降到0.85%和0.81%,力学性能改善明显.同时因晶粒细化导致氧化膜成核位点增加,涂覆100 nm 10% SiC颗粒乙醇悬浮液的试样在3.5% NaCl(质量分数)溶液中的电荷转移电阻为未涂覆试样的256.79%,耐腐蚀性能也提高,为WAAM打印优异性能的金属构件提供了应用参考.

     

    Abstract: To address the issues of low mechanical strength, high anisotropy and reduced corrosion resistance in wire and arc additive manufacturing (WAAM) duplex stainless steel caused by coarse grains and columnar crystal epitaxial growth, SiC particles were introduced. In this paper, SiC particles with different particle sizes (100 and 1 000 nm) were prepared as ethanol-based suspensions containing 0, 2% and 10wt.% during the surfacing process of WAAM 2205 duplex stainless steel, which were added to the welding pool layer by layer. The results show that after adding SiC particles, the two phases ratio of WAAM 2205 duplex stainless steel was more balanced, the coarse columnar crystal structure along the stacking direction become a finer equiaxed crystal structure, and the texture intensity of grain orientation was significantly reduced. As result, the yield strength and ultimate tensile strength of the samples coated with SiC particles in the printing direction and stacking direction were significantly improved. The yield strength of the samples coated with 100 nm 10% SiC particle ethanol suspension in the printing direction and stacking direction increased by 7.75% and 15.51%, respectively, and the tensile strength increased by 8.96% and 17.16%, respectively. It is worth noting that the anisotropy of yield strength and tensile ultimate strength decreased from 7.50% and 7.75% of the uncoated sample to 0.85% and 0.81%, respectively, and the mechanical properties improved significantly. Noteworthy, the anisotropy of the yield strength and tensile ultimate strength decreased to 0.85% and 0.81%, respectively, compared with 7.50% and 7.75% of the uncoated sample. And the mechanical properties were significantly improved. Meanwhile, due to the increase of nucleation sites of oxide film caused by grain refinement, the charge transfer resistance of the sample coated with 100 nm 10% SiC particle ethanol suspension in 3.5% NaCl solution was 256.79% of that of the uncoated sample, and the corrosion resistance was also improved. This paper provides a reference for WAAM printing components with excellent comprehensive performance.

     

/

返回文章
返回