高级检索

CMT电弧增材制造铝合金传热传质与熔池行为数值模拟

Numerical simulation of heat and mass transfer and molten pool behavior of aluminum alloy by CMT and arc additive manufacturing

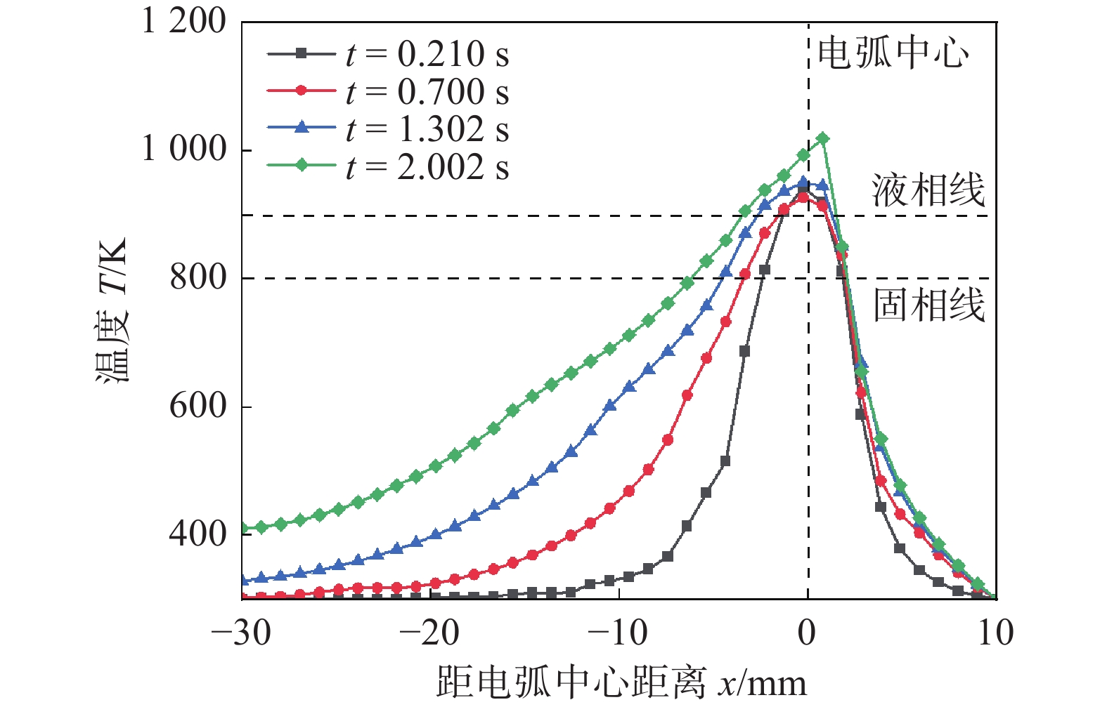
  • 摘要: 为研究冷金属过渡(cold metal transition, CMT)电弧增材制造铝合金传热传质与熔池流动特性,基于Fluent软件建立了三维CMT电弧增材制造数值模型.模型中,采用动网格技术模拟焊丝竖直方向上的往复运动,利用流体体积法捕获气/液界面,焓−孔隙率法追踪固/液界面,并施加周期热量输入和阶段电弧力作用来等效电弧放电行为,研究分析了焊道成形传热传质过程与熔池动态行为.结果表明,焊道成形初期,熔池余高和坡度较大,形貌犹如半个球体,成形后期热量积累造成焊道余高后方较前方略小,而后端熔宽较前端略宽;单滴过渡周期内,焊丝机械回抽对熔池表面流动影响最为明显,液桥断裂产生较大反冲作用于熔池;熔池内部则是电磁力作为主导驱动力产生一股顺时针环流,环流随燃弧阶段周期切换而不断加强与减弱,并基本贯穿整个过渡周期,使得熔池内部热对流更加充分.模拟结果与试验结果显示吻合良好.

     

    Abstract: In order to study the heat and mass transfer and molten pool flow characteristics of aluminum alloy by cold metal transition (CMT) and arc additive manufacturing, a three-dimensional numerical model for CMT arc additive manufacturing was established based on Fluent software. In the model, dynamic meshing technology is used to simulate the reciprocating motion of welding wires in the vertical direction. The volume of fluid method is used to capture the gas-liquid interface. The enthalpy-porosity method is used to track the solid-liquid interface, periodic heat input and stage arc force are applied to equivalent arc discharge behavior. The heat and mass transfer process of welding bead formation and the dynamic behavior of the molten pool are studied and analyzed. The results show that the residual height and slope of the weld pool are relatively large, and the morphology is like a half sphere in the early stage of weld bead forming. In the later stage of forming, the accumulation of heat causes the residual height behind the weld bead to be slightly smaller than the front, while the rear end melting width being slightly wider than the front end. During the single droplet transition period, the mechanical withdrawal of welding wire has the most significant impact on the surface flow of the molten pool, and the liquid bridge fracture produces a significant recoil effect on the molten pool. The electromagnetic force acts as the dominant driving force inside the molten pool to generate a clockwise circulation, which continuously strengthens and weakens with the cycle switching of the arc burning stage, and basically runs through the entire transition period, making the thermal convection inside the molten pool more complete. The simulation results are in good agreement with the experimental results.

     

/

返回文章
返回