高级检索

稀土铈对电弧及熔滴过渡行为的影响

Effect of rare earth Ce on arc and droplet transfer behavior

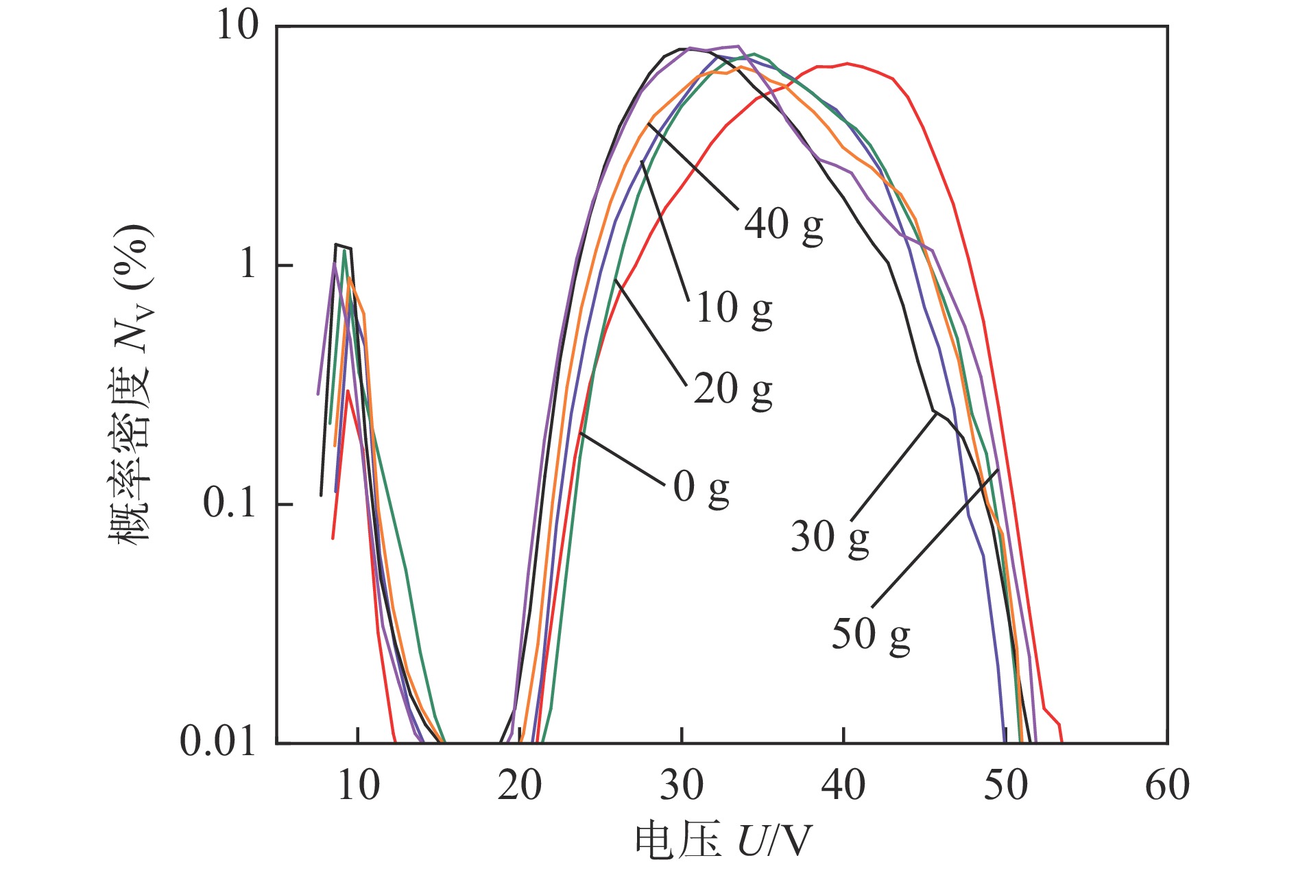
  • 摘要: 在A147焊条药皮原配方中加入不同含量的铈铁合金制得5种稀土焊条.通过光谱仪采集焊接过程中电弧光谱信息;高速摄像采集电弧形态、熔滴过渡信息;NI PXI数据采集系统采集电信号信息.研究了稀土铈对电弧及熔滴过渡行为的影响.结果表明,电弧等离子体中以Fe,Mn和Cr的原子特征谱线为主,在加入稀土后形成Ce的原子特征谱线,因此药皮中添加的铈能够在电弧中电离参与电弧导电过程.此外,铈原子热电离过程,导致电弧收缩,而铈铁合金的添加提高焊条药皮熔点,焊条易形成焊接套筒,加剧电弧收缩效应,显著增加焊缝熔深,有利于实现焊条电弧厚板焊接.不仅如此,通过添加铈铁合金促进渣壁过渡及滴状过渡的形成,降低焊接飞溅率,在保证成型良好的条件下增加电弧高度调节区间,降低焊接技术性需求.

     

    Abstract: Five types of rare earth electrodes were produced by adding different amounts of cerium iron alloy to the original formula of the A147 electrode coating. Spectral information of the arc during welding was collected using a spectrometer; high-speed cameras were used to capture arc morphology and droplet transition information; and the NI PXI data acquisition system was used to collect electrical signal information.Studied the effect of rare earth cerium on arc and droplet transition behavior. The results showed that in the arc plasma, the characteristic spectral lines of Fe, Mn, and Cr atoms were predominant. The addition of cerium to the flux could ionize in the arc and participate in the arc conduction process. Moreover, the thermal ionization process of cerium atoms led to arc contraction, while the addition of cerium iron alloy increased the melting point of the welding rod coating, making it easier for the welding rod to form a welding sleeve, which exacerbated the arc contraction effect, significantly increased the weld penetration, and was beneficial for achieving thick plate welding with the welding rod arc. Moreover, by adding cerium iron alloy to promote the formation of slag wall transition and droplet transition, the probability of droplet deviation was significantly reduced, the welding spatter rate was lowered, the arc height adjustment range was increased under the condition of ensuring good formation, and the technical requirements for welding were reduced.

     

/

返回文章
返回