高级检索

L-PBF制造GH3536热处理与激光冲击强化复合调控

Strengthen GH3536 manufactured by L-PBF with heat treatment and laser shock peening

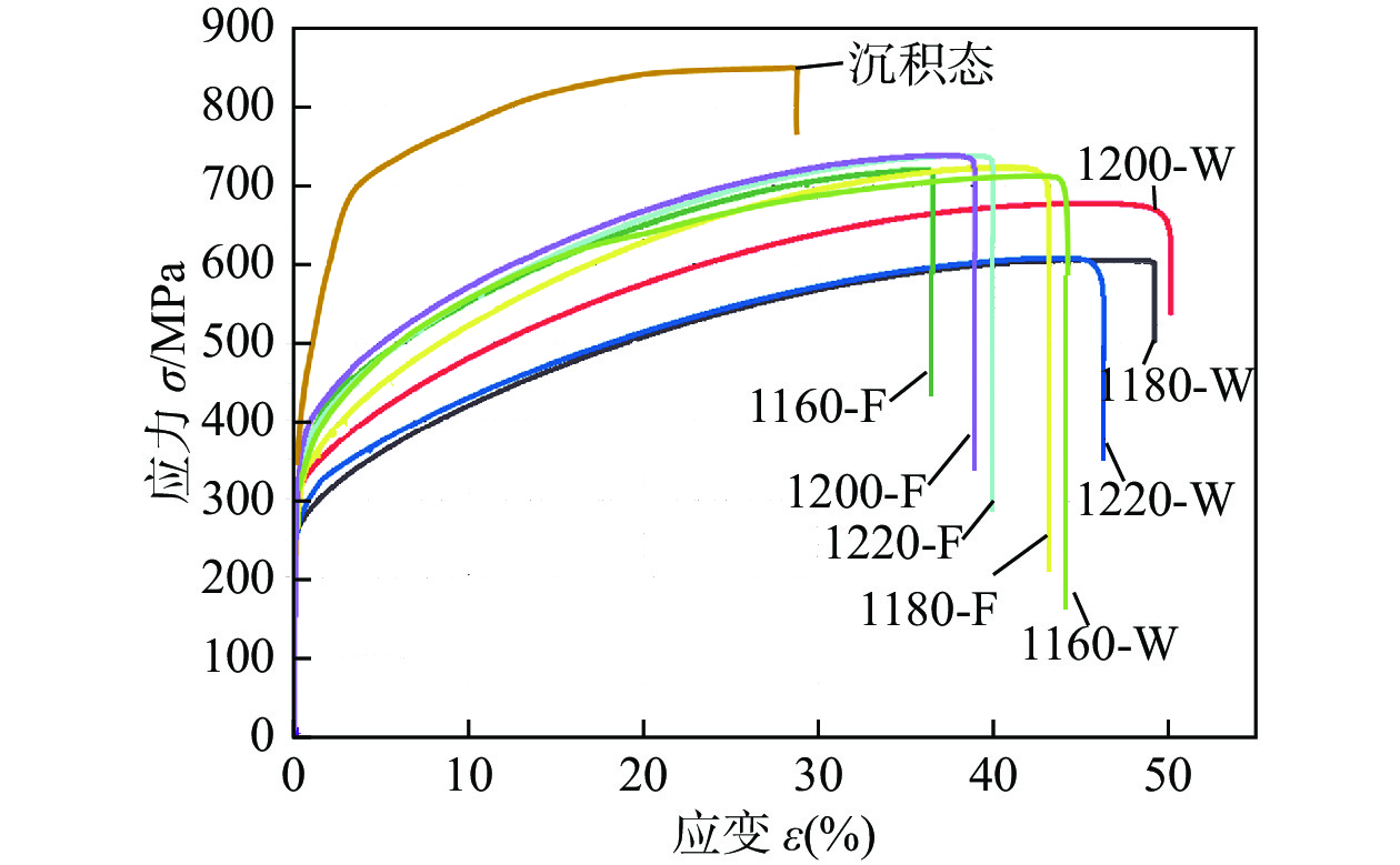
  • 摘要: 文中针对激光粉末床熔融 (laser powder bed fusion,L-PBF)制造的GH3536样品,采用了不同的后处理工艺,并对其微观组织、力学性能和残余应力进行了分析. 结合激光冲击强化技术,开展了构件表面残余应力调控,探究了热处理与激光冲击强化工艺顺序对残余应力的影响. 结果表明,热处理中巨大的冷却应力撕裂了部分孔隙,同时,热处理不能完全消除构件表面约为 + 90 MPa的残余拉应力. 随着冲击次数增加, 残余应力的改善效果更显著,冲击两次后构件近表面呈现残余压应力状态,约为−350 MPa. 相比在热处理前进行激光冲击强化,在热处理后进行强化更有利于残余拉应力的调控,从而实现性能的综合提升. 文中研究结果为GH3536构件的增材制造及后处理工艺提供了新的思路,同时为其在航空航天领域的工程应用奠定基础.

     

    Abstract: This paper examined GH3536 samples produced via laser powder bed fusion (L-PBF), analyzing their microstructure, mechanical properties, and residual stress under various heat treatment conditions. Surface residual stress was controlled by combining heat treatment and laser shock peening, with the impact of their sequence on residual stress also investigated. The results showed that large cooling stress during heat treatment caused some pore tearing, and heat treatment could not fully eliminate the surface residual tensile stress, which remained around +90 MPa. With an increasing number of impacts, residual stress improvement became more pronounced; after two impacts, the near-surface showed residual compressive stress at approximately −350 MPa. It was more effective in controlling residual tensile stress when laser shock peening was applied after heat treatment, enhancing overall performance. This study presented a new approach for the manufacturing and post-processing of GH3536, establishing a foundation for its engineering applications in aerospace.

     

/

返回文章
返回