高级检索

基于高频变极性电流源的交叉耦合电弧焊摆动行为抑制

Oscillating behavior suppression of cross-coupled arc based on high frequency variable polarity current source

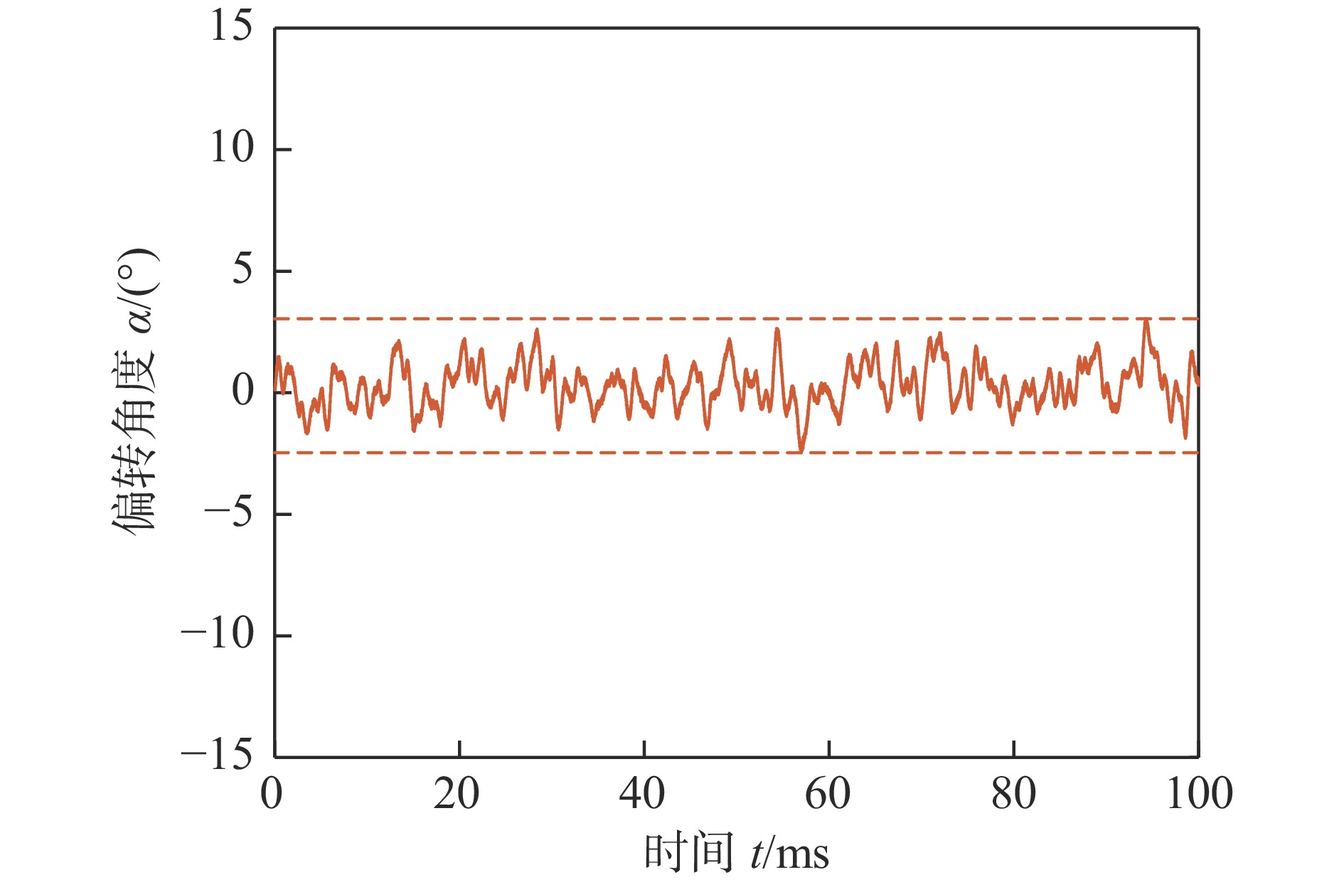
  • 摘要: 交叉耦合电弧焊工艺理论上可以实现焊接过程中传热、传质解耦和独立控制,具有很大的发展潜力,然而,传统的交叉耦合电弧工艺中旁路电弧电流一般由低频交流焊接热源提供,工作过程中会出现主电弧随着旁路电弧的极性改变而发生电弧摆动现象,使各个电弧之间的热力分配不平衡,传热、传质解耦不彻底. 在增材制造应用中,会面临熔滴落点位置不可控、成型精度低等问题,为了解决主电弧的摆动问题,设计开发了旁路电弧为高频变极性电弧的交叉耦合电弧焊接热源. 试验结果表明,这种焊接热源可以通过提高旁路电弧的变极性频率,有效地抑制主电弧的摆动行为,进一步实现交叉电弧中填充焊丝熔化速率与工件热输入之间的传热解耦,同时,抑制主电弧摆动后的现象表现为主电弧高频小幅度振动,理论上可以实现对熔池的搅拌作用,利于枝晶破碎、促进焊缝晶粒细化.

     

    Abstract: Theoretically, the cross coupled arc (CCA) technology can achieve decoupling and independent control of heat and mass transfer during the welding process, and has great development potential. However, in traditional CCA technology, the bypass arc current is generally provided by a low-frequency AC welding heat source. During the working process, the main arc will oscillate as the polarity of the bypass arc changes, resulting in uneven thermal distribution between different arcs and incomplete decoupling of heat and mass transfer. When applied in additive manufacturing, it will face problems such as uncontrollable droplet drop position and low forming accuracy. In order to solve the oscillation problem of the main arc, a CCA welding heat source with a bypass arc as a high-frequency variable polarity arc has been designed and developed. Experimental results show that this welding heat source can effectively suppress the oscillation behavior of the main arc by increasing the variable polarity frequency of the bypass arc. At the same time, the phenomenon of suppressing the oscillation of the main arc is manifested by the high-frequency and small amplitude vibration of the main arc. This effect can theoretically achieve the stirring effect on the molten pool, which is conducive to dendrite fragmentation and promotes the refinement of weld grain.

     

/

返回文章
返回