高级检索

功率调制对激光振镜焊接铝合金的影响

Influence of power modulation on laser oscillating welding of aluminum alloys

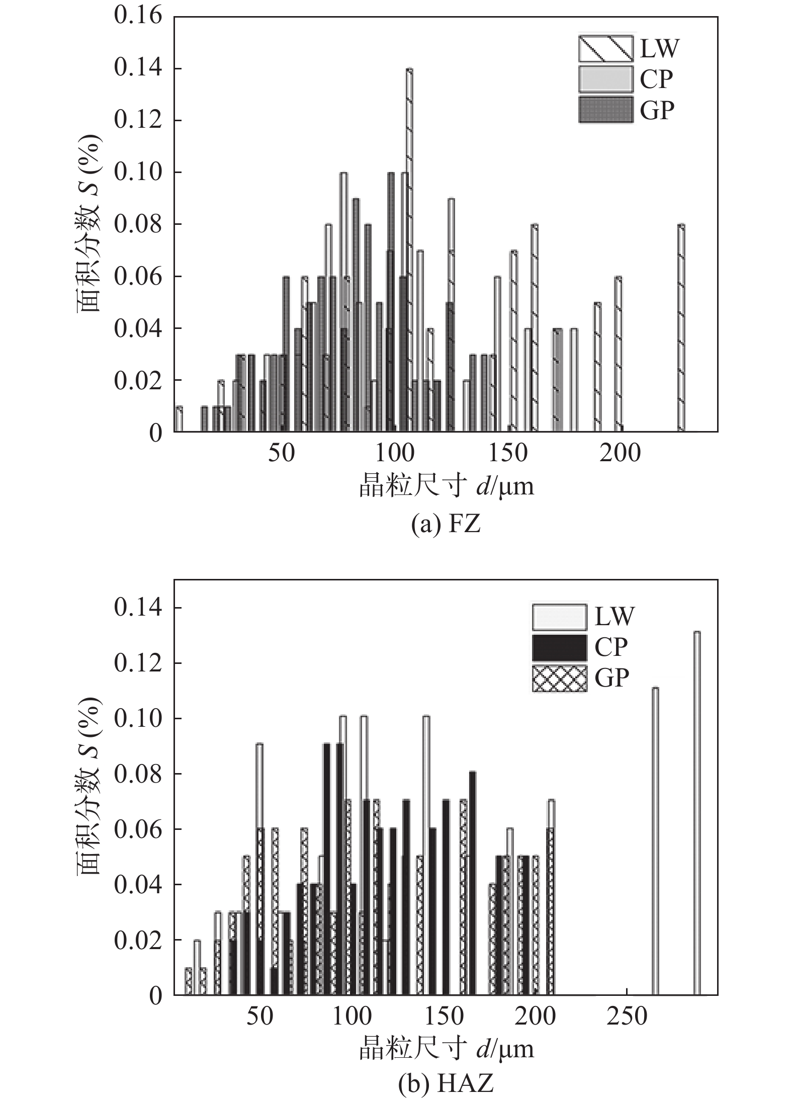
  • 摘要: 为了验证能量分布模式对异种铝合金焊接质量的影响,采用全域功率调制激光振镜焊接系统对6061和5052铝合金进行了对接焊试验. 对比了传统激光焊(LW)和两种激光振镜焊接模式(恒功率-CP和梯度功率-GP)对焊缝成形、焊接气孔、显微组织和力学性能的影响. 结果表明,光束振荡改善了焊缝成形,GP模式焊缝表面凹陷程度最小;振镜模式下焊缝等轴晶的比例比激光焊增多,其中GP模式焊缝等轴化程度最高,显示出最高的接头强度和熔合区硬度;GP模式焊接时降低了熔池温度梯度,使熔池产生了最大的过冷度和异质形核率,从而提高了焊缝中等轴晶的比例;振镜激光焊接改变了能量分布模式,降低了能量峰值;GP模式下焊缝中心的能量密度高于CP模式,使得焊缝熔合良好.

     

    Abstract: In order to verify the influence of energy distribution patterns on the quality of dissimilar aluminum alloy welding, a full domain power modulation (FDPM) laser oscillating welding system was used to conduct butt welding experiments on 6061 and 5052 aluminum alloys. A comparison was made on the effects of traditional laser welding (LW) and two laser oscillating welding modes (constant power-CP, gradient power-GP) on the weld seam, porosity, microstructure, and mechanical properties. The results showed that beam oscillation improved the weld seam formation, with the GP mode having the least surface depression. Under the oscillating mode, the proportion of equiaxed grains in the weld seam was higher than that in laser welding, among which the GP mode weld had the highest equiaxed degree, displaying the highest joint strength and fusion zone hardness. The GP mode reduced the temperature gradient of the molten pool during welding, resulting in the largest undercooling and heterogeneous nucleation rate of the molten pool, thus increasing the proportion of equiaxed grains in the weld seam. The laser oscillating welding altered the energy distribution pattern, lowering the energy peak. The energy density at the center of the weld seam was higher under the GP mode than the CP mode, resulting in better fusion of the weld seam.

     

/

返回文章
返回