高级检索

烧结银细观孔隙结构对宏观力学性能的影响

Influence of the mesoscale porous structure features on the macroscale mechanical properties of sintered silver nanoparticles

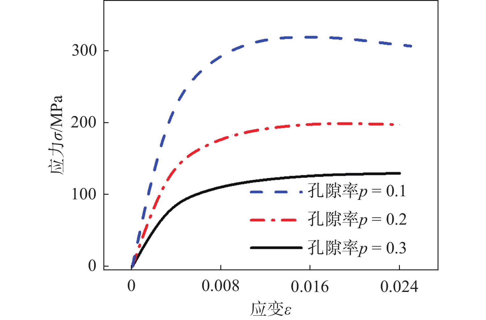
  • 摘要: 为研究烧结纳米银材料细观孔隙结构对宏观力学性能的影响,首先利用高斯滤波算法和分位数切割函数生成具有不同孔隙率(0.1,0.2和0.3)的代表性微元(RVE). 通过对RVE施加周期性边界条件,获得其单轴拉伸力学性能,使用Abaqus软件建立了由烧结纳米银颗粒制成的搭接接头的宏观模型模拟剪切试验,烧结层的材料属性与预测的RVE的弹塑性应力-应变曲线保持一致. 结果表明,随着孔隙率的减小,RVE模型的弹性模量和屈服强度增大;值得注意的是,随着应变的增大,塑性变形最后阶段的应力呈现较大的下降趋势,使得材料更容易受到损伤. 通过比较宏观模型的剪切模拟,可以观察到孔隙率的变化对烧结纳米银颗粒的剪切变形有显著影响,具体而言,随着孔隙率的增加,孔隙部位更容易出现裂纹并扩展,形成多个孔隙的贯通裂纹,从而导致烧结银的抗剪强度降低.

     

    Abstract: In order to investigate the influence of the mesoscale porous structure of sintered silver nanoparticles on the macroscale mechanical properties, representative volume elements (RVEs) with different porosities (0.1, 0.2 and 0.3) are firstly generated by using the Gaussian filtering algorithm and the cutting quantile functions. The uniaxially tensile mechanical properties of the RVEs are obtained by applying periodic boundary conditions. A macroscale model of the lap joint made of sintered silver nanoparticles is then established using Abaqus software to simulate the shear test. The material properties of the sintered layer are consistent with the predicted elastoplastic stress–strain curves of the RVE. The findings reveal that as the porosity decreases, the elastic modulus and yield strength of the RVE model increase. However, it is worth noting that the stress at the final stage of the plastic deformation demonstrates a significant decreasing trend as strain increases, rendering the material more susceptible to damage. Furthermore, through a comparison of shear simulation results of the macroscale model, it can be observed that porosity variations have a notable impact on the shear deformation of sintered silver nanoparticles. Specifically, as the porosity increases, the likelihood of crack initiation and propagation in porous regions rises. This leads to the coalescence of cracks among multiple pores, consequently resulting in the reduction of shear strength of the sintered silver nanoparticles.

     

/

返回文章
返回