高级检索

TC4激光焊接热力耦合数值模拟及力学性能分析

Thermodynamic coupling numerical simulation and mechanical properties analysis of TC4 laser welding

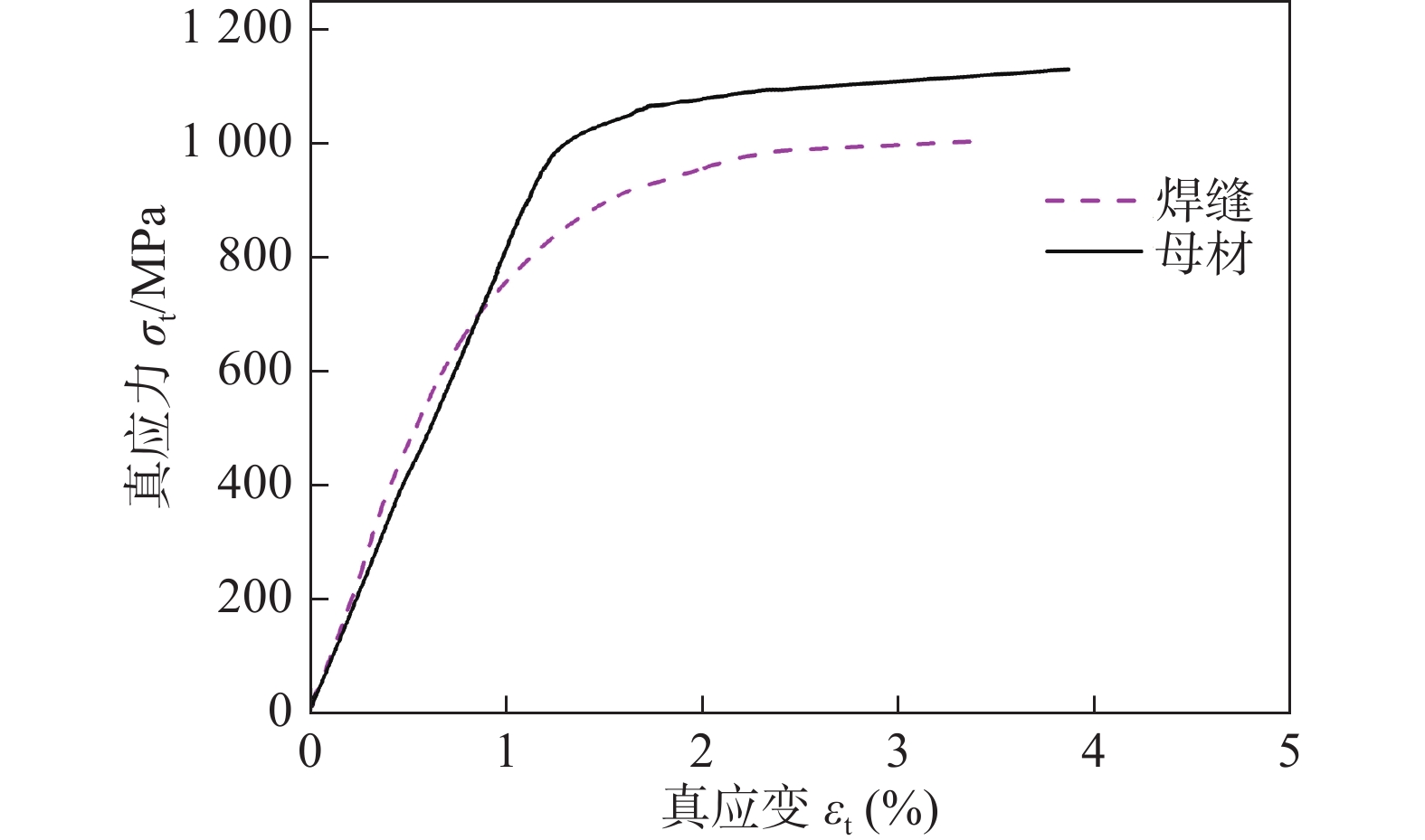
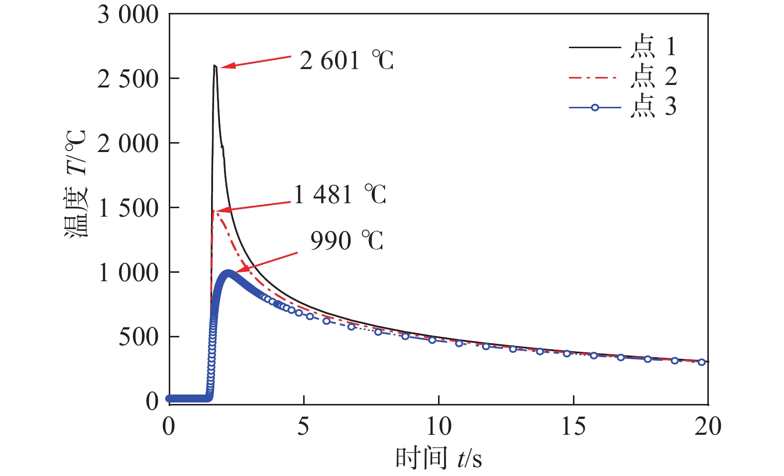
  • 摘要: 为了准确预测TC4钛合金激光焊接过程的温度变化和焊接后的力学性能,文中通过ABAQUS子程序建立了激光焊温度场模型,对激光焊接温度场进行模拟分析,并研究了焊接过程中的温度变化及焊接后残余应力变化. 试验检测了焊接接头的硬度和表面残余应力,并分析了显微组织. 结果表明,当热循环温度峰值达到2601 ℃时,熔池温度已显著高于液相线,熔池中无固相晶粒,主要呈现出材料熔化后凝固形成的少量柱状晶. 此外,越靠近焊缝的热影响区,晶粒越粗大,晶内马氏体的数量和密度也较高. 激光焊接后,焊缝区的显微硬度基本相同,表面显微硬度稍高,平均可达385 HV. 焊缝中间段沿焊接方向的纵向残余应力呈现均匀峰值,横向应力略小,纵向和横向中央平均应力误差分别为1.4%和2.9%,垂直焊缝方向的残余应力分布基本一致. 随后对焊接接头的力学性能进行了拉伸模拟研究,数值模拟得到的温度场和残余应力分布与试样焊后的组织形态和表面残余应力分布相符,拉伸试验和数值模拟的位移载荷变化数据相匹配,验证了激光焊接接头的温度场模型和拉伸断裂模型的可行性和准确性.

     

    Abstract: To accurately predict the temperature changes during the laser welding process of TC4 titanium alloy and the mechanical properties after welding, a laser welding temperature field model was established using ABAQUS subroutines. The temperature field during laser welding was simulated and analyzed, and the changes in temperature and residual stress during and after welding were studied. The hardness and surface residual stress of the welded joints were tested, and the microstructure was analyzed. The results showed that when the peak temperature of the thermal cycle reached 2601 ℃, the molten pool temperature was significantly higher than the liquidus line, there are no solid phase grains in the molten pool, but rather a small amount of columnar crystals formed after solidification. Additionally, the heat-affected zone near the weld had coarser grains, with higher quantity and density of martensite within the grains. After laser welding, the microhardness in the weld zone was consistent, with slightly higher surface microhardness, averaging 385 HV. The longitudinal residual stress along the welding direction showed a uniform peak in the middle of the weld, with slightly lower transverse stress. The average stress errors for the longitudinal and transverse central regions were 1.4% and 2.9%, respectively, and the residual stress distribution perpendicular to the weld direction was consistent. Subsequently, the mechanical properties of the welded joints were studied through tensile simulations. The temperature field and residual stress distribution obtained from numerical simulations matched the microstructure and surface residual stress distribution of the welded samples. The displacement-load data from tensile tests and numerical simulations also matched, proving the feasibility and accuracy of the laser welding temperature field model and the tensile fracture model.

     

/

返回文章
返回