高级检索

保温时间对钛合金板翅式换热器真空钎焊过程温度场及残余应力的影响

Effect of holding time on temperature field and residual stress in the vacuum brazing process of titanium alloy plate-fin heat exchangers

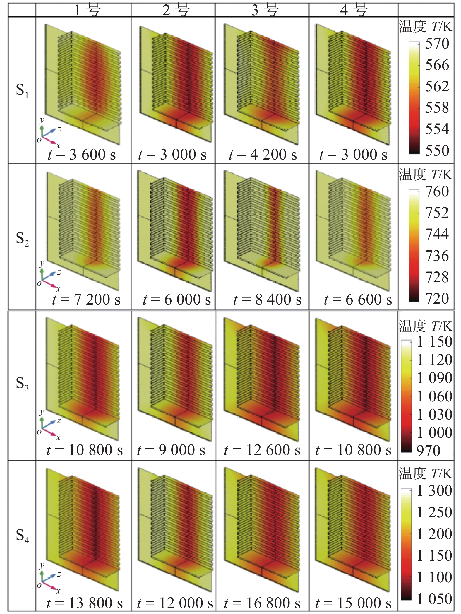
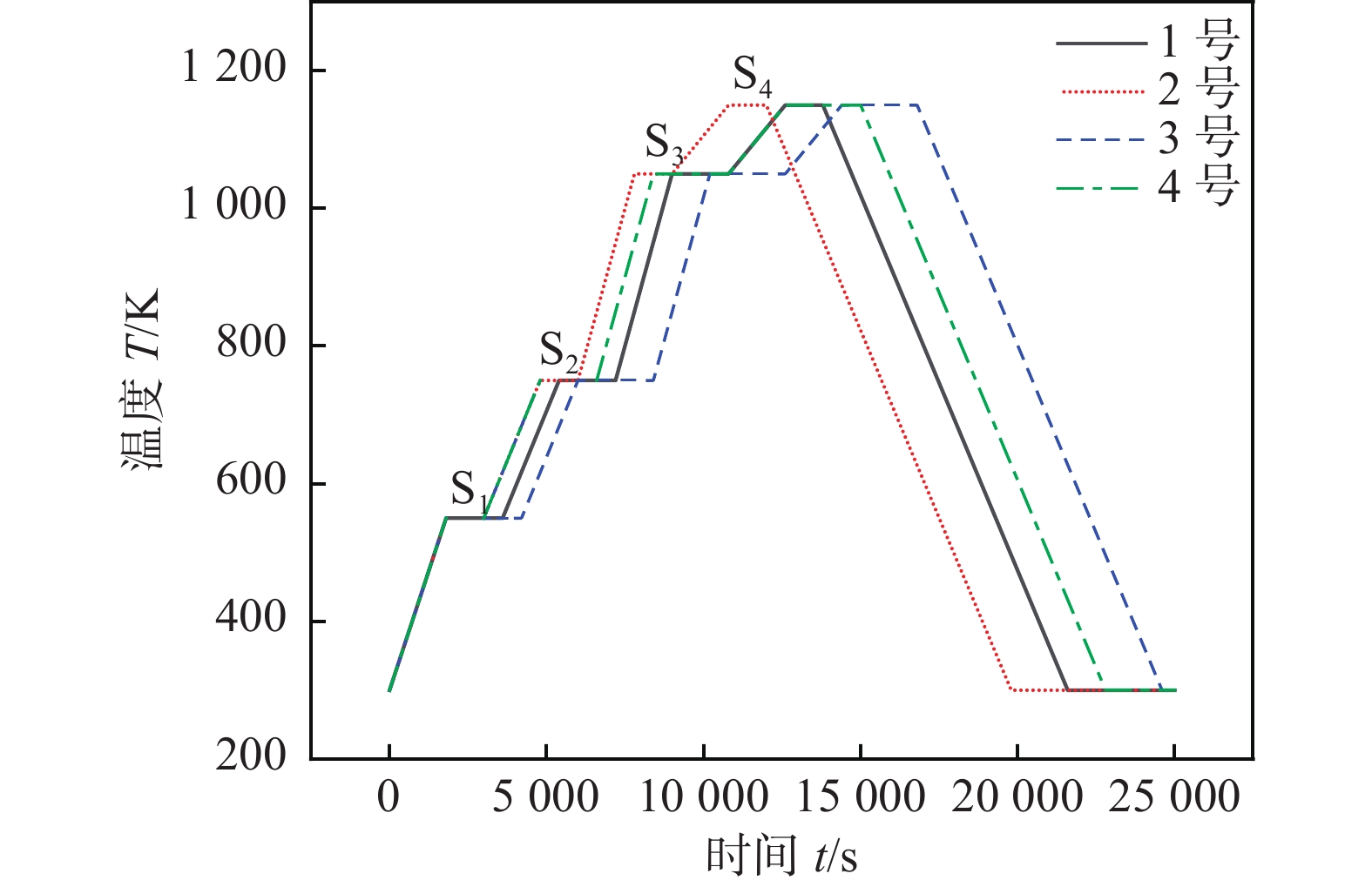
  • 摘要: 钛合金板翅式换热器成品率较低、残余应力较大,该文针对钛合金板翅结构真空钎焊过程开展热−固耦合建模与仿真研究,阐述了钎焊过程温度均匀性及残余应力分布特征,探明保温时间对钛合金板翅式换热器真空钎焊过程温度场及残余应力的影响机理. 结果表明,板翅结构两侧温度较高,中部温度较低,延长保温时间可有效改善板翅结构的温度均匀性. 残余应力均主要集中于翅片上表面与隔板背侧中部,在钎缝及夹持点处存在明显的应力集中现象,保温时间越长翅片钎缝的残余应力越小. 模拟得到钛合金板翅式换热器真空钎焊中残余应力与试验结果相吻合,相对误差为5.3%,验证了该模型的准确性.

     

    Abstract: The power and environmental control systems of high-end equipment, such as aerospace, submarine and aircraft carrier, were commonly in service under extreme environment of high pressure, heavy load, strong vibration and elevated temperature corrosion, which put forward an urgent demand for efficient and high-strength plate-fin heat exchanger. However, due to low production yield, large residual stress and deformation for titanium alloy plate-fin heat exchanger, the corresponding efficient and reliable brazing technology need further breakthrough at present. Therefore, a thermal-solid coupling model was carried out in this paper for the vacuum brazing process of titanium alloy plate-fin structure. The temperature uniformity and the distribution characteristics of residual stress were explained, the influence of holding time on the temperature field and residual stress of the vacuum brazing process of titanium alloy plate-fin heat exchanger was verified. The results showed that the temperature of the plate-fin structure was higher on both sides and lower in the middle. Extending the insulation time could effectively improve the temperature uniformity of the plate-fin structure. The residual stresses were mainly concentrated on the upper surface of the fins and the middle of the back side of the spacer, and there were obvious stress concentrations at the brazing seam and the clamping point. When increasing holding time, the residual stresses decreased. The simulated residual stress during vacuum brazing process agreed with the test results, and the relative errors were 5.3%, verifying the accuracy of the model.

     

/

返回文章
返回