高级检索

电阻辅助加热对2519A铝合金搅拌摩擦焊接成形性的影响

Experimental and numerical simulation of the effect of resistance-assisted heating on formability of 2519A aluminum alloy during friction stir welding

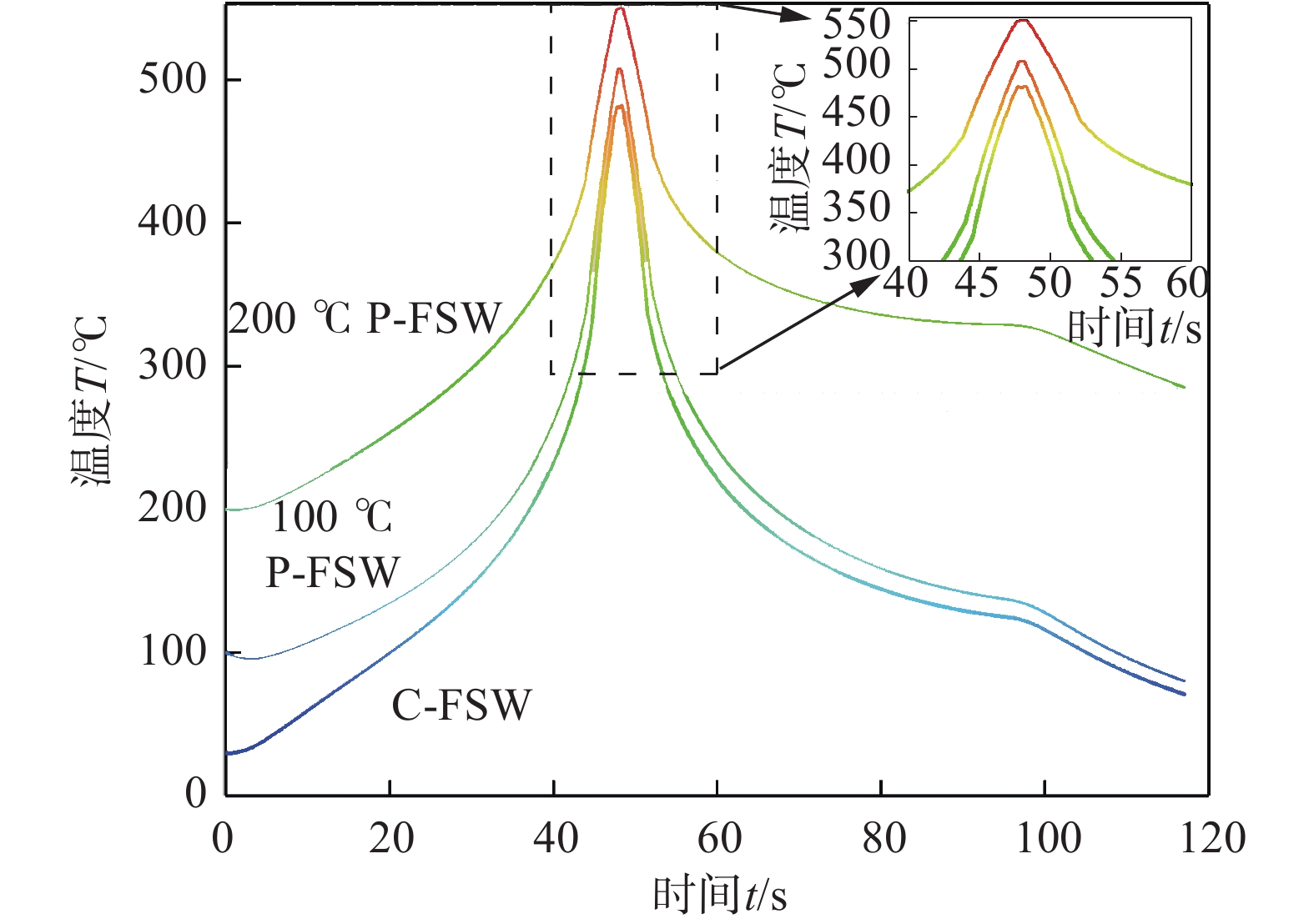
  • 摘要: 采用试验与数值模拟相结合的方法探究了电阻辅助加热温度对2519A-T87铝合金搅拌摩擦焊接头成形性的影响,基于耦合欧拉-拉格朗日方法建立了电阻辅助加热搅拌摩擦焊的三维热-力耦合模型,分析了焊接过程温度场分布和材料流动行为,阐明了电阻辅助加热工艺消除搅拌摩擦焊隧道型缺陷的作用机理.结果表明,辅助加热工艺使焊接峰值温度从483 ℃提高至549 ℃,并增加了350 ℃以上高温区间的停留时间,扩大了高温分布区域,降低了材料变形抗力,增强了材料从焊核区后退侧运动至前进侧的流动性,使材料回填更充分,从而消除了焊缝内部隧道型缺陷.

     

    Abstract: In present study, the effects of the resistance-assisted heating process on the formability of 2519-T87 friction stir welded joints were investigated by experiments and numerical simulations. Based on the coupled Eulerian-Lagrangian (CEL) method, a three-dimensional thermal mechanical coupling model of friction stir welding with a resistance-assisted heating process was established. The temperature field and material flow behavior were analyzed, and the mechanism of eliminating tunnel hole defects during resistance-assisted heating friction stir welding process was discussed. The results show that the auxiliary heating process increases the welding peak temperature from 483 ℃ to 549 ℃, increases the residence time at high temperature above 350 ℃, and expands the high-temperature distribution area. This reduces the material deformation resistance, and enhances the fluidity of materials from the retreating side of the nugget zone to the advancing side, leading to more sufficient backfilling of materials, thus eliminating the tunnel hole defects in the joint.

     

/

返回文章
返回