高级检索

碳纤维增强复合材料与6061铝合金激光连接仿真

Simulation study of laser joining of carbon fiber reinforced plastics and 6061 aluminum

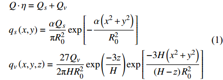
  • 摘要: 为研究碳纤维增强复合材料和铝合金搭接激光焊接过程的温度变化规律,文中以6061铝合金和碳纤维增强尼龙66复合材料(CF/PA66)为研究对象,建立了基于热传导的有限元模型,使用SYSWELD软件对两种材料搭接激光焊接过程进行数值模拟,并通过试验验证了模型的准确性;在此基础上研究了激光功率、焊接速度、搭接宽度、冷却条件、工装导热条件对接头温度场的影响规律;研究发现, CF/PA66树脂熔化区域随着激光功率的增大而增加,随冷却速度的增大而减小,同种工艺参数下材料搭接尺寸对界面树脂最大熔化宽度无影响,水冷条件能够显著降低CF/PA66树脂熔化量,导热材料热导率越大,对PA66树脂熔化量的降低作用越显著.

     

    Abstract: In order to study the temperature variation of the laser welding process of carbon fiber reinforced composite and aluminum alloy, this paper took 6061 aluminum alloy and carbon fiber reinforced Nylon 66 composite (CF/PA66) as the research object, established the finite element model based on heat conduction, and used SYSWELD software to conduct numerical simulation of the laser welding process of the two materials. The accuracy of the model was verified by experiments. On this basis, the influence laws of laser power, welding speed, lap width, cooling conditions and tooling thermal conductivity on the joint temperature field were studied. It is found that the size of aluminum alloy molten pool and the melting zone of PA66 resin increase with the increase of laser power and decrease with the increase of cooling rate. Under the same process parameters, the material lap size has no effect on the maximum melting width of interfacial resin. The water cooling condition can significantly reduce the melting pool size and the melting capacity of PA66 resin. The reduction of melt pool size and melting amount of PA66 resin is more significant.

     

/

返回文章
返回