高级检索

激光熔覆TC4/Inconel 625/316L不锈钢梯度材料组织与性能

Microstructure and mechanical properties of laser cladding TC4/Inconel 625/316L stainless steel gradient material

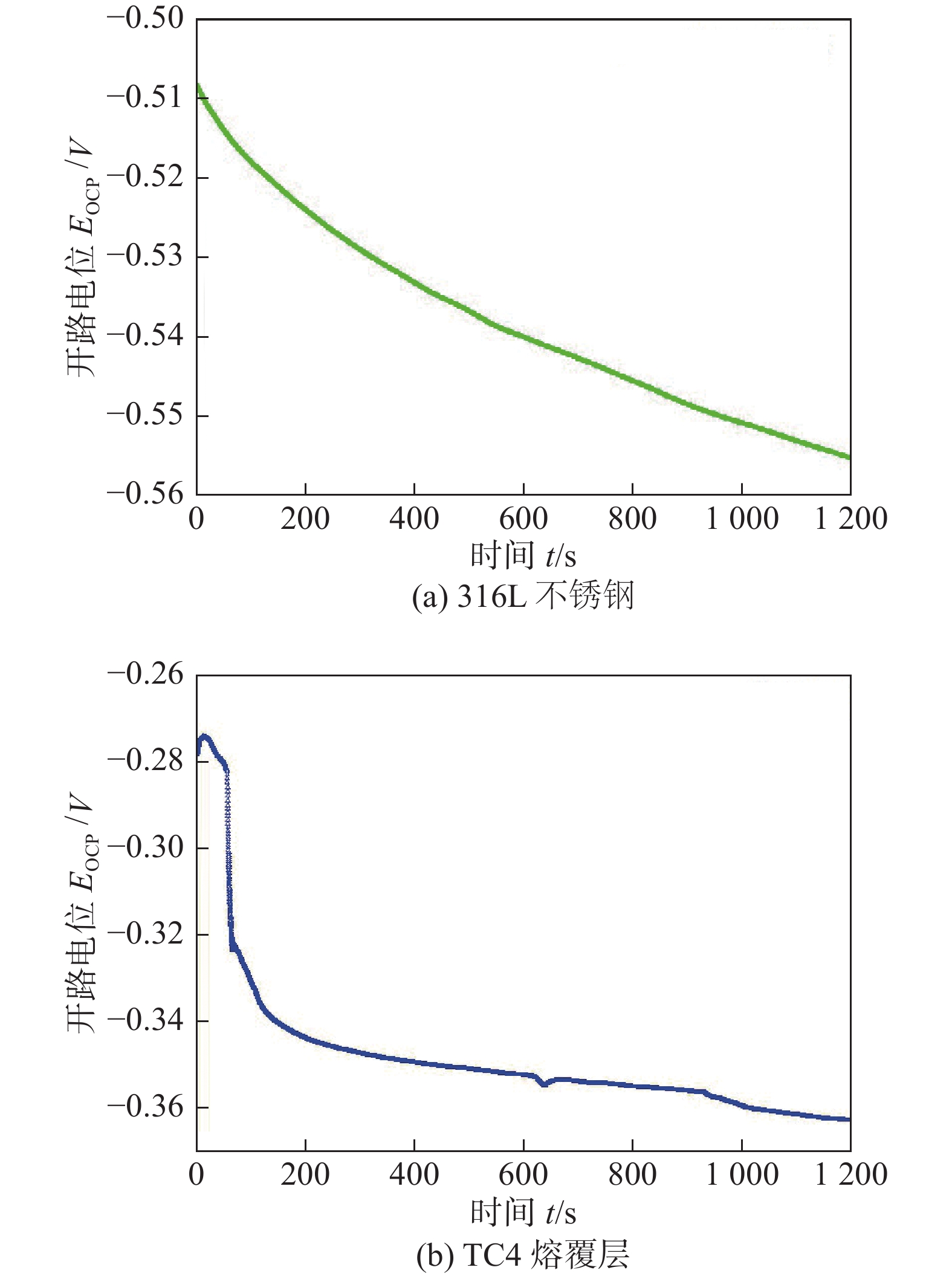
  • 摘要: 为了提高不锈钢工件的综合性能,采用激光熔覆工艺在不锈钢上制备TC4熔覆层、Inconel 625熔覆层作为过渡层,通过光学显微镜、扫描电子显微镜、X射线衍射仪、能谱仪、硬度计、摩擦磨损和电化学测试等研究了TC4熔覆层微观组织、显微硬度、电化学性能和摩擦磨损性能. 结果表明,熔覆层成形质量良好且具有均匀致密的微观组织. 熔覆过程中,由于元素扩散与高温作用发生的共晶反应,熔覆层中生成CrNi2和Ti2Ni增强相,大大提升了熔覆层的硬度与耐磨性;TC4熔覆层磨损机制主要为磨粒磨损与氧化磨损,耐磨性优于基体;TC4熔覆层的腐蚀电流密度小于基体,耐蚀性显著高于基体.

     

    Abstract: In order to improve the comprehensive performance of stainless steel workpiece, a TC4 cladding layer was prepared on stainless steel by laser cladding process, with Inconel 625 cladding layer as the transition layer. The microstructure, microhardness, electrochemical properties and tribological properties of TC4 cladding layer were studied. The results show that the cladding layer has high forming quality and uniform and dense microstructure. During the cladding process, the eutectic reaction caused by element diffusion and high temperature leads to the formation of CrNi2 and Ti2Ni reinforced phases in the cladding layer, which has signifcantley improved the hardness and wear resistance of the cladding layer. The wear mechanism of TC4 cladding layer is mainly abrasive wear and oxidation wear, and the wear resistance is better than that of the matrix. The corrosion current density is lower, and the corrosion resistance of TC4 cladding layer is significantly higher than that of the matrix.

     

/

返回文章
返回