高级检索

基于多点柔性支撑的钛合金激光焊接变形控制

Weld distortion control in laser welding of T-joint titanium alloy based on multi-point flexible fixture

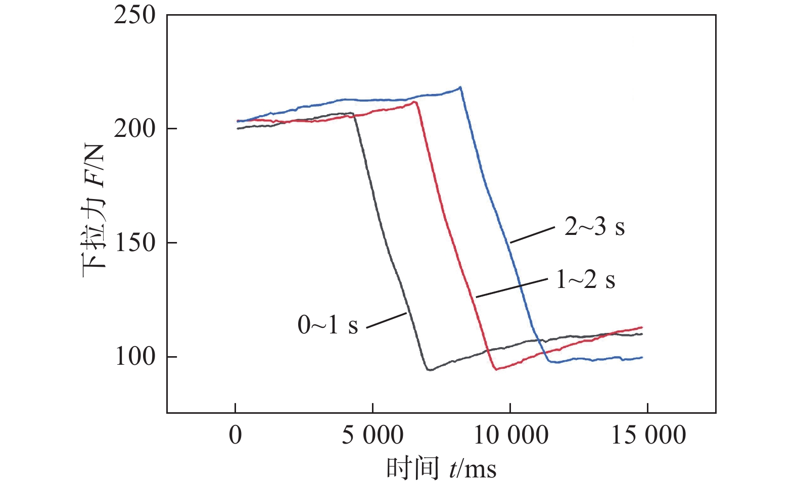
  • 摘要: 钛合金带筋壁板类T形结构常见于航空制造领域,其激光焊接工艺已经比较成熟. 但是即便在激光高速焊接过程热输入已经很低,仍然会存在一定的焊后角变形. 由于航空制造的高精度要求,需要施加额外的主动控制以最大限度减小此类角变形. 文中提出并验证了基于可编程多点柔性支撑的主动变形控制方法. 针对传统刚性装夹、预置应力不适应于弱刚性带筋壁板结构的问题,设计了一套以STM32单片机为主控,直线电动推杆为执行机构的多点柔性支撑装置. 结果表明,可在焊接过程实时监测当前支撑位置的受力状态,并进行动态调节,从而达到有效抑制焊接角变形的效果.

     

    Abstract: Titanium alloy T-shape joints are commonly employed in the field of aircraft manufacturing, and its laser welding process is relatively mature. However, even if the heat input in the high-speed laser welding process is already relatively low, there will still be a certain degree of deformation after welding. Due to the high-precision requirements in the aircraft manufacturing, the angular distortion of welded sheets needs to be further reduced, so that additional active control would be necessary to apply to minimize such angular deformation. In this paper, an active deformation control method based on programmable multi-point flexible supports is proposed and verified. For traditional rigid clamping, the preset stress is not suitable in view of the problem of weakly rigid ribbed thin structure. A multi-point flexible support device with micro-controller and linear electrical actuator is designed in this study, which can monitor and adjust the force of the current support position in real time during the welding process. The welding deformation thus could be effectively reduced.

     

/

返回文章
返回