高级检索

超窄间隙焊接中送进焊剂片与电弧相互作用机制分析

Analysis of interaction mechanism between feeding flux sheet and arc in ultra-narrow gap welding

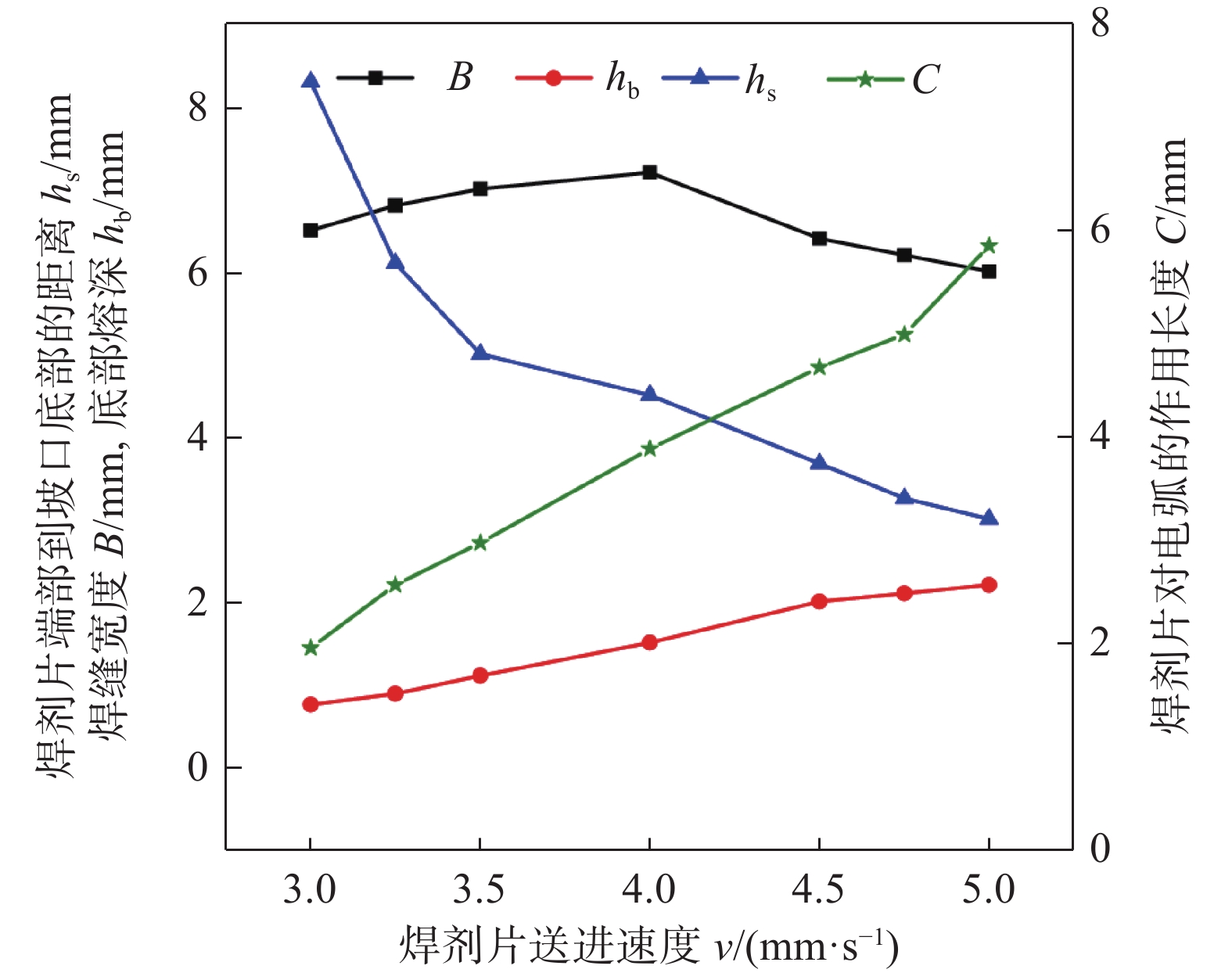
  • 摘要: 送进式焊剂片约束电弧超窄间隙焊接中,连续送进的焊剂片与电弧相互作用的关系影响着焊接过程的稳定性.采用一种快速中断电弧的方法,得到了熄弧位置处焊缝熔池形态和焊剂片瞬时熔化形貌,分析了焊剂片对电弧的作用长度与电弧受约束程度的关系.结果表明,增加焊剂片送进速度或减小电弧电压,可使焊剂片对电弧的作用长度增加,当增至一定程度时,电弧被有效约束在坡口底部对侧壁根部进行均匀加热,获得根部熔合良好的平焊缝.当焊剂片对电弧的作用长度过小时,电弧的受约束程度减弱,电弧加热区域集中在两侧壁上,很难在坡口根部形成有效熔池,最终形成孔洞焊缝.

     

    Abstract: In the ultra-narrow gap welding of the fed-in flux sheet constrained arc, the interaction between the continuously fed flux sheet and the arc affected the stability of the welding process. A method of rapidly interrupting the arc was used to obtain the shape of the molten pool and the instantaneous melting morphology of the flux sheet at the arc-extinguishing position . The relationship between the action length of the flux sheet on the arc and the degree of arc confinement was analyzed. The results showed that the feeding speed of the flux sheet was increased or the welding voltage was reduced , which could make the action length of the flux sheet on the arc increase. When it increased to a certain extent, the arc was effectively constrained at the bottom of the groove to uniformly heat the root of the side wall, and the flat weld with good root fusion was obtained. When the degree of restraint was weakened, the arc heating area was concentrated on the two side walls, and it was too difficult to form an effective molten pool at the root of the groove.Finally a hole weld was formed.

     

/

返回文章
返回