高级检索

铝硅镀层热成形钢拼焊板箔材填充激光焊的组织与性能研究

Microstructure and mechanical performance of Al-Si coated laser welded hot stamped steel with foils

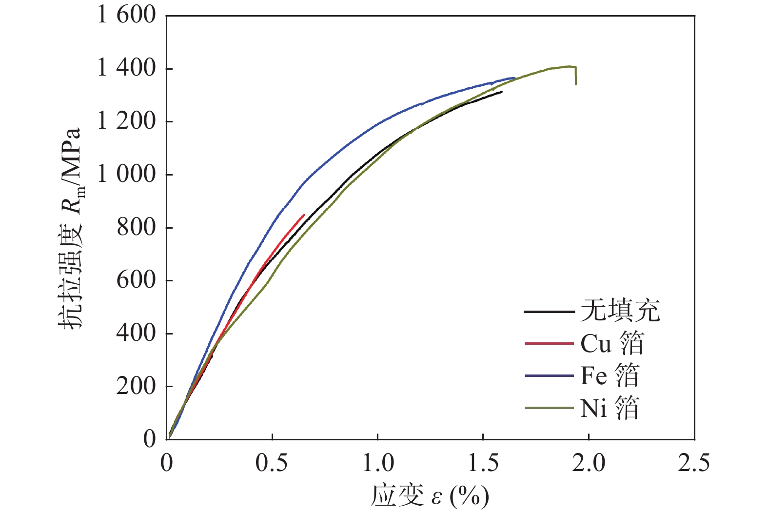
  • 摘要: 铝硅镀层热成形钢是一种重要的汽车用先进高强钢,但在拼焊板制造过程中受到铝硅镀层的影响,焊接接头的性能远低于母材. 文中选择了3种相同厚度不同箔材作为铝硅镀层热成形钢激光焊的填充材料,并经热成形工艺处理. 通过比较焊接接头的微观组织、硬度分布、拉伸力学性能和断口形貌,阐明不同箔材填充激光焊的影响作用. 结果表明,Ni箔和Cu箔都促进了焊缝板条马氏体比例的增加和δ铁素体比例的减少,但Cu箔填充接头的断口呈沿晶断裂,塑性远低于Ni箔,与Ni固溶增强增韧Fe基体有关. Fe箔在一定程度上产生稀释的作用,也提高了焊缝板条马氏体含量.

     

    Abstract: Al-Si coated hot stamping steel is one of important advanced high strength steel in nowadays vehicle manufacturing. Due to the coating degradation effect, the performance of the laser weld of tailor-welded blanks is lower than that of base metal. This paper chose three different foils with same thickness as filler material to modify the welds. After hot stamping procedure in lab, the microstructure, hardness, tensile strength and fracture morphology are both compared to explain the foil effect. The results indicate Ni foil and Cu foil both reduce the delta ferrite in weld seam, but the joint with Cu foil shows intergranular fracture and low strength and ductility. Ni foil shows a limited increase of the joint strength, because of extra solution enhancement. Fe foil leads to dilution effect of Al coating, which increase martensite fraction.

     

/

返回文章
返回