高级检索

金线焊接差异对信号传输的影响分析与建模

Analysis and modeling of influence of gold wire welding difference on signal transmission

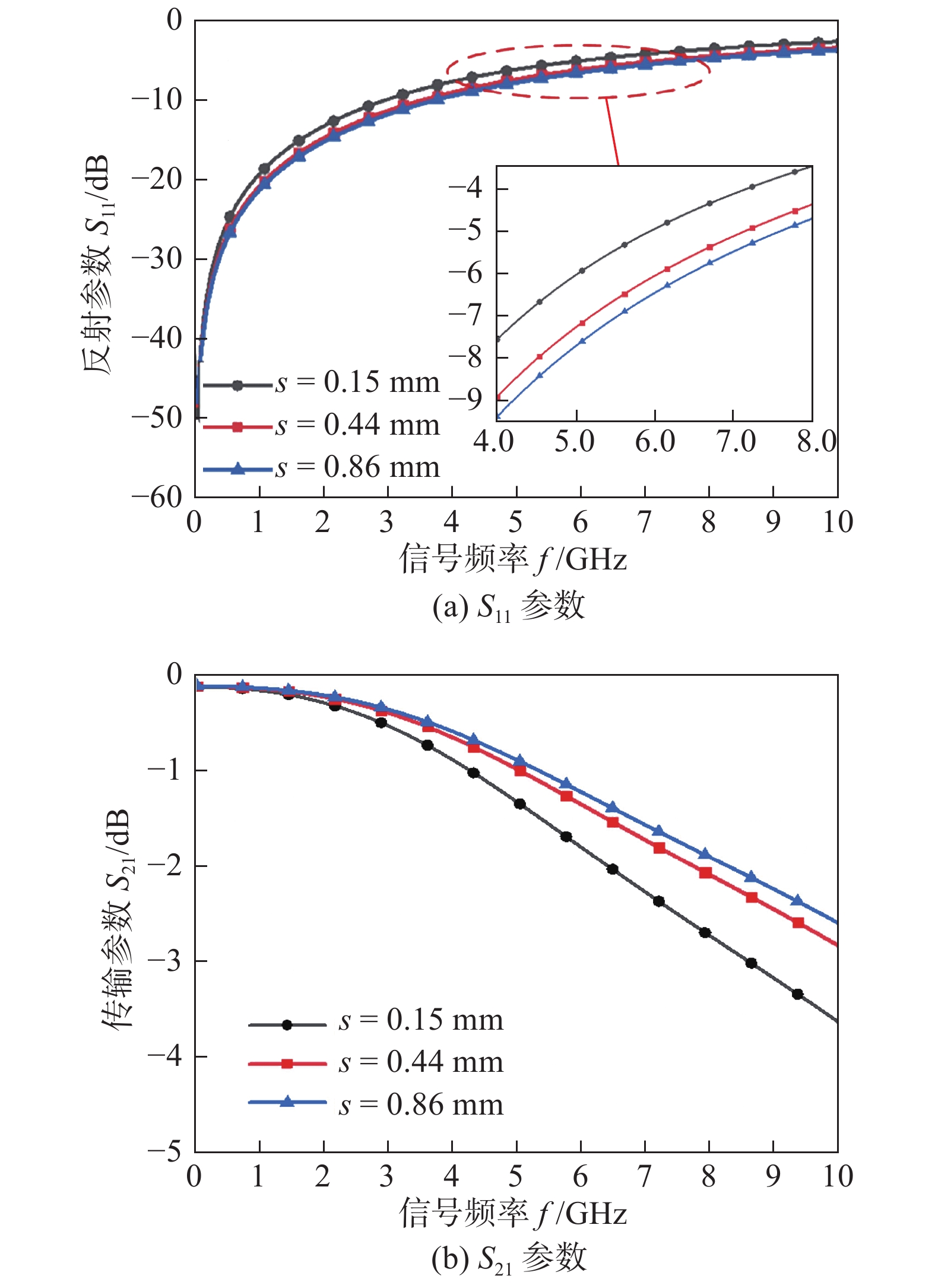
  • 摘要: 在超声热键合的过程中,平行键合线的间距变化常常被忽略.间距变化对高频信号传输会产生较大影响,不容忽视.文中从建模分析和试验测试两个角度研究了平行键合线距离对电路信号传输的影响.基于电路的尺寸参数和材料参数,分别建立了不同间距平行键合线的电磁场数值计算模型和等效电路模型,计算和分析了两连接点间等效电感和电阻随间距和信号频率的变化关系,研究了平行键合线距离对电路信号完整性的影响. 模型仿真和试验测试结果表明,键合线之间的互感随着键合线间距增加而下降,从而导致两连接点之间的等效电感下降,电路信号完整性提升.

     

    Abstract: In the process of ultrasonic thermal bonding, the change of the distance between parallel bonding wires is often ignored. The change of the distance affects high frequency signal transmission significantly, which cannot be ignored. The impact of distance between two parallel bonding wires on signal transmission was studied from perspectives of both model analysis and experimental testing. Based on the size and material parameters of circuit, an electromagnetic field numerical calculation model and an equivalent circuit model of bonding wires with different distances were developed. The relationship between the equivalent inductance and resistance between two connection points was calculated and analyzed with the change of the distance and signal frequency. The influence of the distance between parallel bonding wires on signal integrity of circuits was studied. Finally, experiments were designed to verify the effectiveness of the theoretical model.

     

/

返回文章
返回