高级检索

低合金高强钢激光电弧复合焊热模拟热影响区组织与冲击韧性

Microstructure and impact toughness of laser-arc hybrid welding simulated heat affected zone of high strength low alloy steel

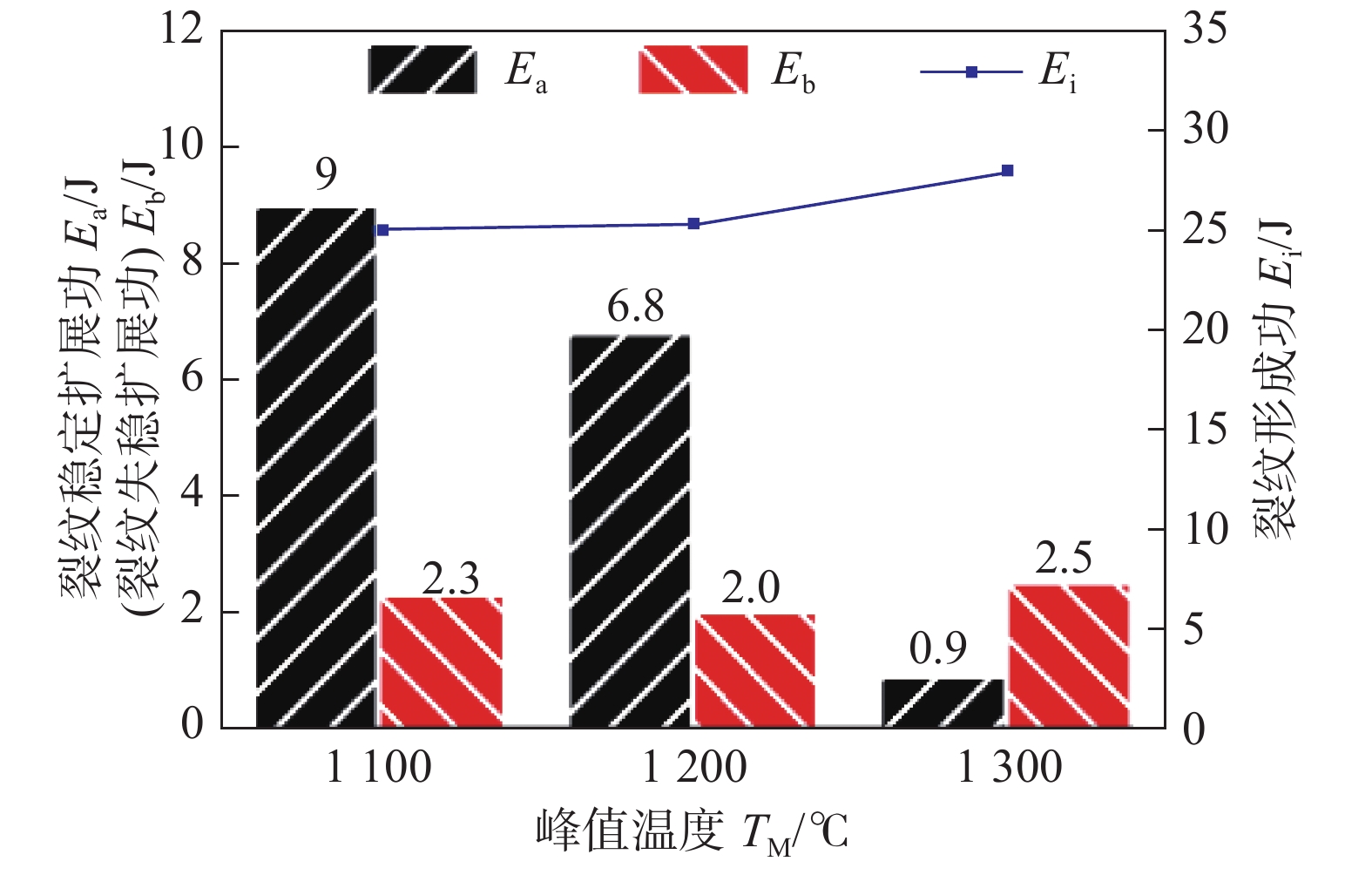
  • 摘要: 采用焊接热模拟技术制备了低合金高强钢激光电弧复合焊热影响区的均匀化组织试样,并结合示波冲击试验和组织精细化表征技术分析了热模拟试样组织与韧性之间的关系. 结果表明,热模拟粗晶区、细晶区组织为板条马氏体,临界区组织为马氏体和晶界碳化物,亚临界区组织为回火马氏体;峰值温度对热模拟试样裂纹形成功影响不大,对裂纹扩展功具有较大影响;热模拟临界区和粗晶区试样抵抗裂纹扩展的能力较差;当峰值温度相同时,热模拟粗晶区试样的冲击吸收能量随冷却速度的变化不大. 峰值温度主要影响热模拟粗晶区试样裂纹稳定扩展功,峰值温度越高,裂纹稳定扩展功越低. 热模拟粗晶区试样断裂过程属于裂纹扩展控制,马氏体板条块是控制其裂纹稳定扩展的微观组织单元.

     

    Abstract: Homogeneous specimens of the laser-arc hybrid welding heated affected zone (HAZ) of low alloy high strength steel were prepared by welding thermal simulation technology. The instrumented impact test and microstructure characterization technologies were used to analysis the relationship between the microstructure and toughness of the simulated specimens. The results showed that the simulated coarse grained HAZ (CGHAZ) and fine grained HAZ (FGHAZ) composed of lath martensite (LM) and the inter-critical HAZ (ICHAZ) compose of LM and grain boundary carbide, the sub-critical HAZ (SCHAZ) is comprised of tempered martensite. The peak temperature has little effect on the crack initiation energy, but large effect on the crack propagation energy. The simulated ICHAZ and CGHAZ specimens have poor resistance to crack propagation. When the peak temperature is the same, the impact energy of the simulated CGHAZ specimens have little change with various the cooling rates. The peak temperature mainly affects the crack stable propagation energy and the crack stable propagation energy decrease as the peak temperature increase. The fracture process of the simulated CGHAZ specimen was controlled by the crack propagation, and the block was the microstructure unit controlling the crack stable propagation.

     

/

返回文章
返回