高级检索

电弧熔丝增材制造钛/铝复合材料的组织与性能

Microstructure and properties of Ti/Al composites materials fabricated by wire and arc additive manufacturing

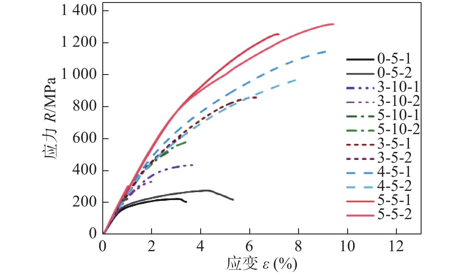
  • 摘要: 通过基于冷金属转移的电弧熔丝增材制造技术制备了铝/钛复合材料. 观察到钛/铝结合界面存在元素扩散,形成一定厚度的中间反应层,表明界面结合良好. 同时,通过硬度测试得到界面附近的硬度介于钛侧与铝侧之间,这主要是由于元素扩散导致界面附近生成了硬脆金属间化合物. 考虑到不同的复合比会导致不同力学性能,通过拉伸试验,研究了复合比对带缺口的钛/铝复合材料拉伸力学性能的影响规律. 结果表明,在持续拉伸载荷作用下,钛/铝复合材料的两组成层之间相互影响. 随着复合比的增加,抗拉强度和屈服强度增加,断后伸长率由于受钛铝之间冶金反应的影响较大,当钛/铝试样具有较低复合比时,其断后伸长率甚至小于单一沉积铝,随后才随着复合比的增加而增大. 另外,运用ABAQUS补充了多组复合比下钛/铝复合材料的拉伸过程,得到了复合比与屈服强度和抗拉强度的关系式.

     

    Abstract: In this paper, Al/Ti composite materials were fabricated by wire and arc additive manufacturing based on cold metal transfer. The elements diffusion and a certain thickness of intermediate reaction layer were observed in the interface, which indicates that the Ti and Al were well bonded. At the same time, the hardness of the interface was between the titanium side and the aluminum side, which is mainly due to the formation of hard and brittle intermetallic compounds in the intermediate reaction layer. Considering that different clad ratio would lead to different mechanical properties, the effect of clad ratio on the tensile mechanical properties of notched Ti/Al composite materials was studied through tensile test. The results show that the two layers of Ti/Al composite materials interacted with each other under continuous tensile load. With the increase of the clad ratio, the tensile strength and yield strength increased, but the elongation first decreased and then increased, which is related to the mechanical properties of the deposited titanium and aluminum. In addition, ABAQUS was used to supplement the tensile process of Ti/Al composite materials with various clad ratios, and the equations between clad ratio and yield strength and tensile strength were obtained.

     

/

返回文章
返回