高级检索

氮气辅助316L不锈钢激光-MIG复合焊接组织与耐蚀性能

Microstructure and corrosion resistance of laser-MIG 316L stainless steel under the nitrogen assistance

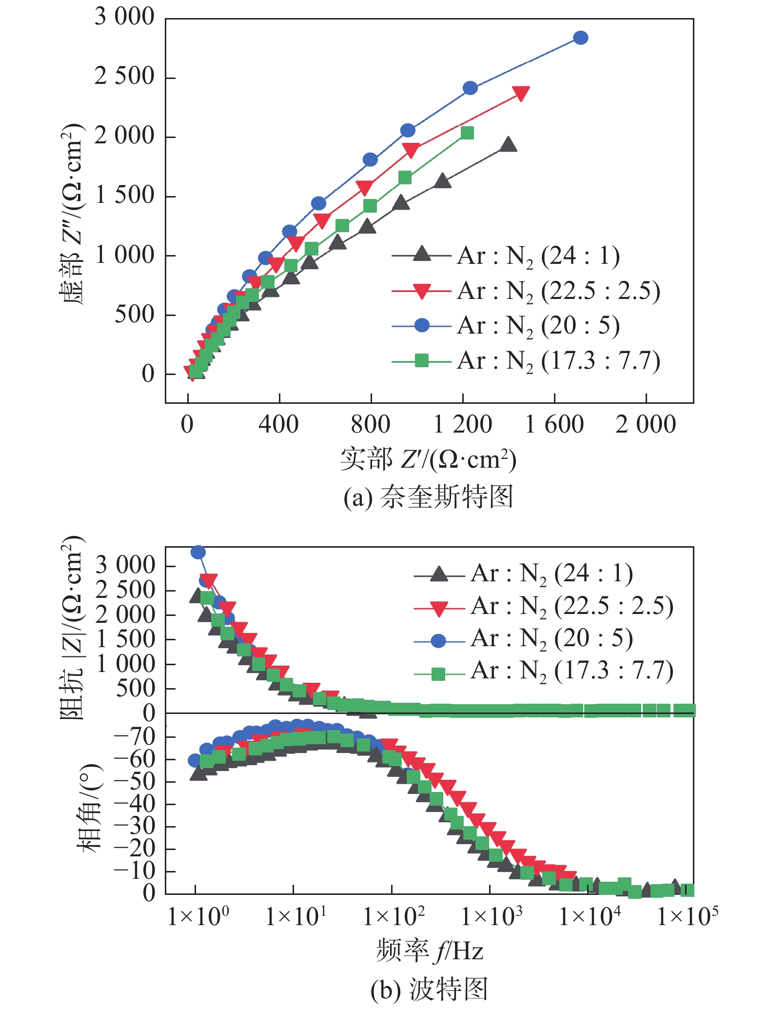
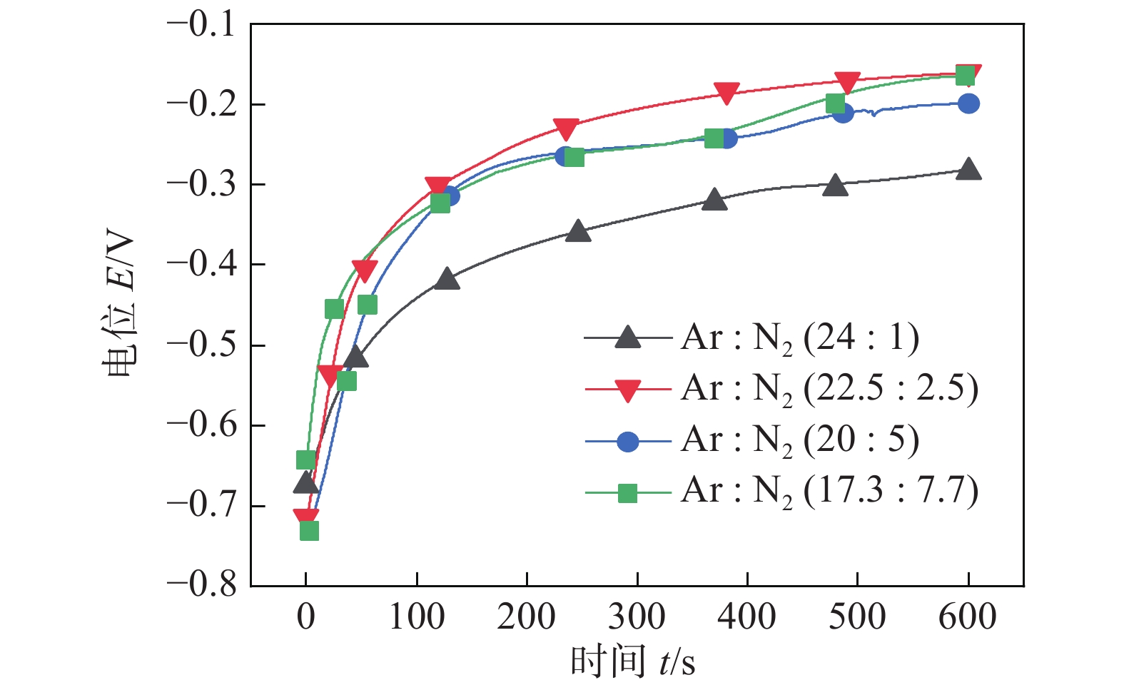
  • 摘要: 为了提高纯氩气下MIG焊接316L不锈钢的稳定性、改善焊缝组织以及强化耐腐蚀性能,引入1 200 W小功率激光对MIG电弧进行诱导压缩,同时在氩气中混入氮气,探索不同流量比的Ar-N2混合气体对焊缝微观组织及其耐腐蚀性能的影响. 结果表明,激光的诱导作用能够收缩并稳定MIG电弧,随着氮气流量的增加,焊缝的熔合线逐渐平缓,内部气孔缺陷明显降低;XRD测试和显微组织分析发现,渗氮后的焊缝内部γ相含量明显增多,中下部区域均为细小均匀的γ胞状晶,中上部区域为γ树枝晶,并且一次枝晶间距逐渐减小. 当氮气流量增加到5 L/min,焊缝的显微硬度可综合提升20 HV;电化学极化测试发现,渗氮之后的焊缝表现出更强的耐腐蚀性能. 试验证实,氮气辅助激光-MIG复合焊接工艺能够改善316L不锈钢焊缝的显微组织和耐腐蚀性能,当Ar∶N2气体流量比为20∶5时,γ相的强化效果最显著,综合耐腐蚀性能最好.

     

    Abstract: In order to enhance the MIG arc stability, improve the internal microstructure and strengthen the corrosion resistance of 316L stainless steel weldments manufactured by MIG under the pure argon gas, a 1 200 W low power laser was introduced to induce compression on the MIG arc, with N2 mixed into Ar to explore the effect of Ar-N2 mixed shielding gas with different flow rates on the microstructure and corrosion resistance of the 316L welding seam. Experimental observations display that the MIG arc became more stable under the induced effect of 1 200 W laser. With the increase of N2 gas flow rate, the fusion line of the molted pool become smoother and the internal porosity defects are significantly reduced. XRD tests and microstructure observations indicate that the content of internal γ-phase increase significantly. It can be clearly seen that most fine cellular γ phase distributed uniformly in the lower middle regions of the molted pool, and the upper middle regions were dendritic γ phase, with its primary dendrite spacing gradually decreased. As the N2 gas flow rate increase to 5 L/min, the micro-hardness of the welding seam could be enhanced by 20 HV. Electrochemical polarization tests revealed that the Laser-MIG 316L welding seam formed under the Ar-N2 mixed gas exhibit stronger corrosion resistance. Above experiments confirmed that the N2-assisted laser-MIG hybrid welding technology can improve the microstructure and corrosion resistance of 316L stainless steel weldments, and when the Ar : N2 gas flow rate is 20 : 5, the strengthening effect of γ phase is most significant and the best corrosion resistance can be achieved comprehensively.

     

/

返回文章
返回