高级检索

微弧等离子增材制造NiCr合金的分子动力学数值模拟

Molecular dynamics simulation of NiCr alloy fabricated by micro-plasma additive manufacturing

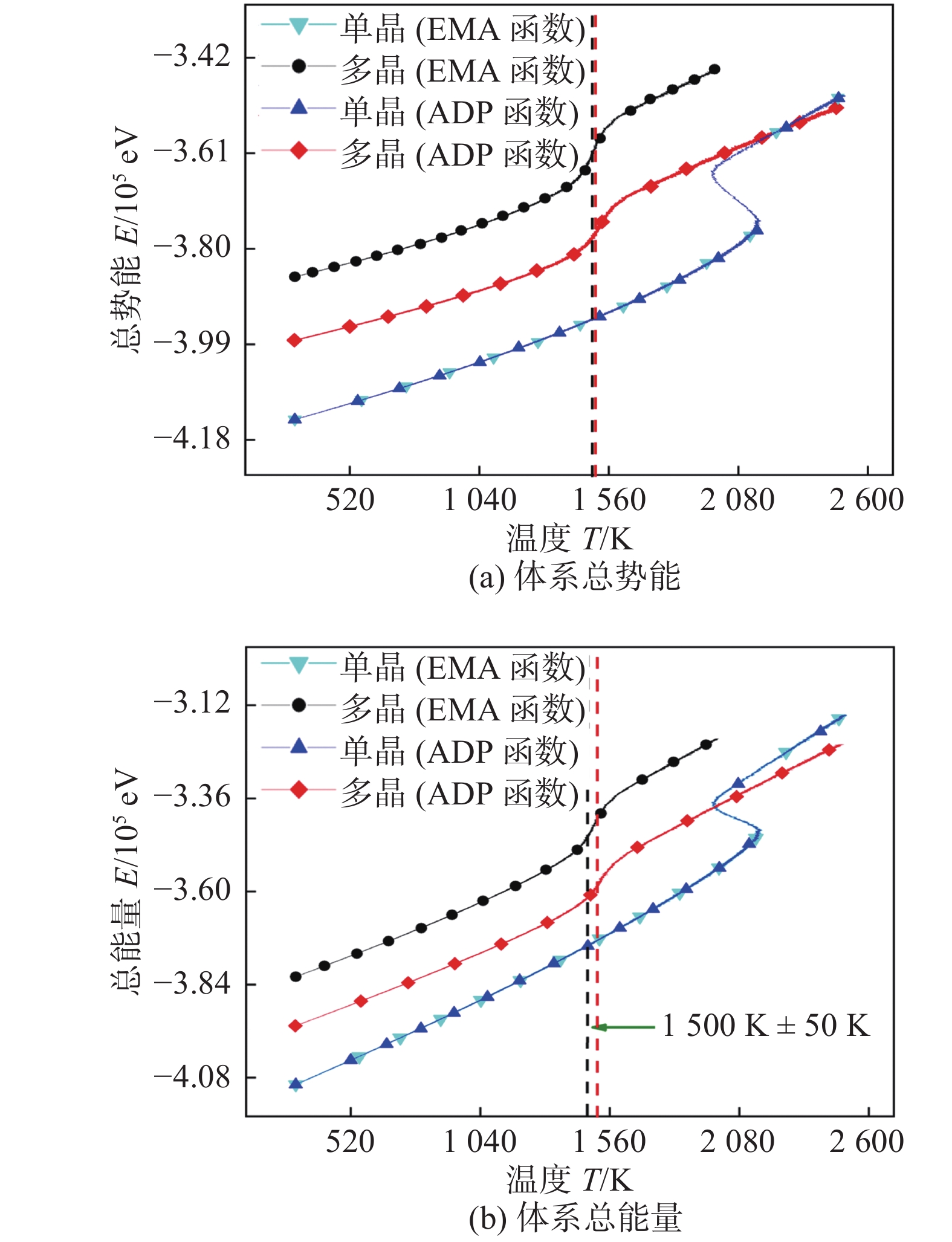
  • 摘要: 微弧等离子增材制造NiCr合金快速凝固过程对增材制造的结构件微观组织结构性能具有重要影响. 采用分子动力学对微弧等离子增材制造NiCr合金构件生长过程中温度场变化及等轴晶生长过程进行模拟. 结果表明,冷却速率为3.38 K/ps和0.675 K/ps时,Ni-Cr体系呈现非晶凝固,0.077 5 K/ps冷却速率下,Ni-Cr体系自发形核长大,实现等轴晶凝固结晶过程,这为微弧等离子增材制造组织演变研究提供了理论支撑.

     

    Abstract: The rapid solidification process of NiCr alloy produced by micro arc plasma has an important influence on the microstructure and properties of structural parts manufactured by additive. In this paper, molecular dynamics (MD) was used to simulate the temperature field and the growth of equiaxed grains in the process of micro arc plasma additive forming NiCr alloy components. The results show that the NiCr alloy exhibits amorphous solidification at cooling rates of 3.38 K/ps and 0.675 K/ps, and the NiCr alloy spontaneously nucleates and grows at cooling rates of 0.077 5 K/ps, realizing equiaxed solidification and crystallization. The simulation results are in good agreement with the phase field method and the electron micrographs of equiaxed region, which provides a theoretical basis for the study of microstructure evolution of NiCr alloy fabricated by micro arc plasma additive manufacturing.

     

/

返回文章
返回