高级检索

薄壁十字交叉激光焊结构缺陷超声Lamb波检测

Ultrasonic Lamb wave detection of defects in thin-walled cross laser welding structure

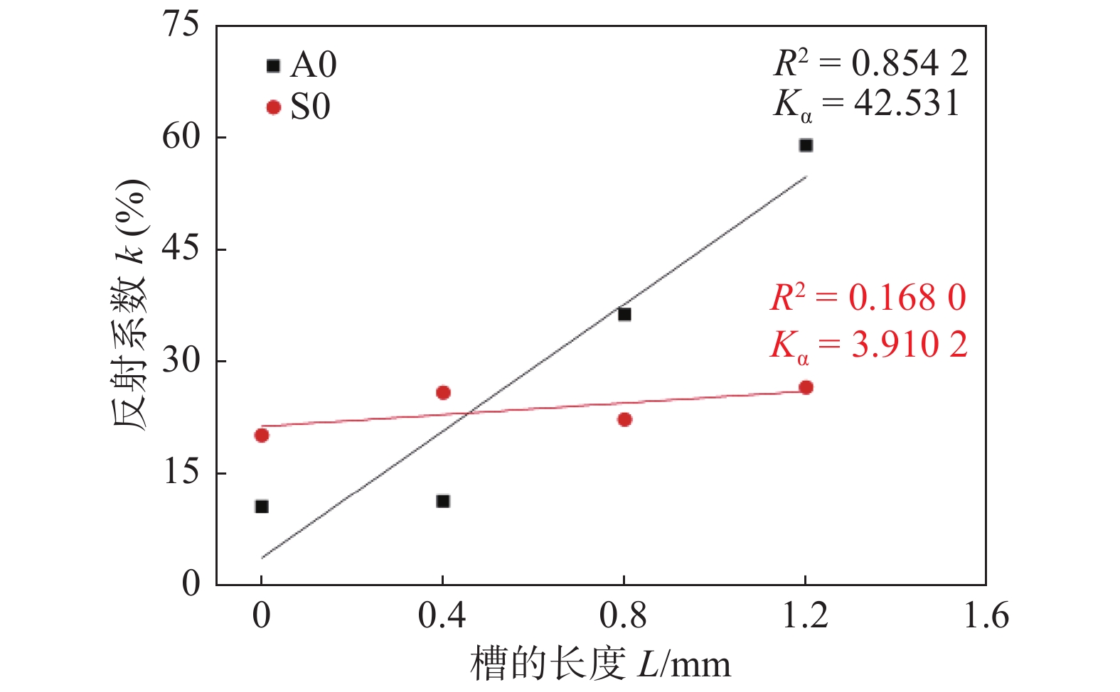
  • 摘要: 为了有效识别薄壁十字激光焊结构中未焊透缺陷,开展了超声Lamb波法检测研究. 采用有限元分析方法模拟了A0和S0模态Lamb波在薄壁中与缺陷的作用结果,对缺陷尺寸与回波反射系数的关系进行了预测. 在此基础上,进行仿真结合试验,确定了不同模态Lamb波的入射点、激励角度,探讨了A0和S0模态Lamb波用于识别1.9 mm厚薄板十字激光焊接结构未焊透缺陷的可行性,并获得了超声Lamb波反射系数与缺陷尺寸的关系. 结果表明,仿真研究和试验实测结果的趋势具有较好的一致性. 采用超声Lamb波检测时,A0模态波能够有效检测十字焊接结构中的未焊透缺陷,且可一定程度上表征缺陷的尺寸;而S0模态波对结构中的未焊透缺陷不易于识别.

     

    Abstract: The ultrasonic Lamb wave method is used to detect and study the effective identification of incomplete penetration in thin-walled cross laser welding structures. The finite element analysis method is used to simulate the effects of A0 and S0 mode Lamb waves in thin walls and the defect. The relationship between defect size and echo reflection coefficient is predicted. On this basis, through simulation combined with experimental research, the incident point and excitation angle of different modes of Lamb waves are determined. At the same time, the feasibility of using A0 and S0 modal waves to identify incomplete penetration of 1.9 mm thick thin plate cross laser welding structure is discussed. And the relationship between Lamb wave reflection coefficient and defect size is obtained. The results show: The trends of simulation research and experimental results have good consistency. With ultrasonic Lamb wave detection, A0 modal waves can effectively detect incomplete penetration in the cross welded structure and can characterize the size of defects to a certain extent; While S0 modal waves are not easy to identify incomplete penetration in the structure.

     

/

返回文章
返回