高级检索

搅拌摩擦焊温度场的数字孪生建模方法

Digital twin modeling method for temperature field of friction stir welding

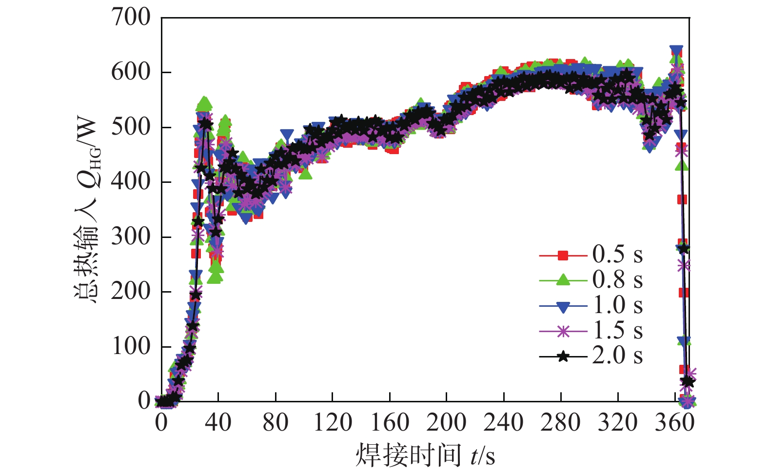
  • 摘要: 作为制造技术数字化与智能化的关键技术,数字孪生技术的发展对现有建模方法提出了新的要求. 其中,信息与物理的实时融合是数字孪生建模方法中的关键. 以搅拌摩擦焊(FSW)为例,建立了一种可在“移动热源法”数值模拟中实时融入实测温度数据的迭代式信息-物理融合算法,并论证了基于此对焊接温度场进行实时复刻的可行性. 算例试算表明,此迭代式信息-物理融合算法具有较高的可靠性,基于迭代式信息-物理融合算法的计算得到的温度相对实测温度的平均误差在5 ℃以内. 此外,采用时间步长1.5 s或2.0 s时,计算所消耗的时间将少于焊接的物理过程时间. 这使得“移动热源法”数值模拟与FSW物理过程能够以秒级的时间精度进行同步. 因此,将传感器数据实时融入与物理过程同步的数值模拟模型,是实现焊接过程数字孪生的一种可行方法.

     

    Abstract: As the key technology of digitalization and intelligentization of manufacturing, the development of digital twins (DT) technology has put forward new requirements for new simulation methods. Real-time cyber-physics fusion is a key aspect of digital twins. Taking friction stir welding (FSW) as example, a novel iterative cyber-physical fusion algorithm to realize the real-time calculation of the 3D temperature field is established. The viability of real-time simulation of 3D temperature field in FSW is demonstrated. The result shows that the proposed algorithm has high reliability, and the average error of the temperature calculated based on the proposed algorithm relative to the measured temperature in experiment is within 5 ℃. It is interesting to mention that, if a time step of 1.5 s or 2.0 s is utilized, the calculation time will be shorter than the physical process of welding. This enables numerical simulation and FSW physical processes to be synchronized with a second-level temporal precision. It is proved that integrating real-time sensor data into numerical simulation model synchronizing with physical process can be a practical method of realizing digital twin modeling of welding process.

     

/

返回文章
返回