高级检索

基于能量耗散的AZ31B镁合金接头疲劳极限快速评估

Rapid evaluation of fatigue limit of AZ31B magnesium alloy joints based on energy dissipation

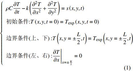
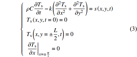
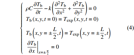
  • 摘要: 疲劳过程中材料的温度升高主要是由能量耗散引起的,可以据此来对材料或构件的疲劳性能进行评估. 试验过程中热边界条件的变化可能会使得评估结果变得不可信,文中利用能量耗散引起的温升对AZ31B镁合金手工TIG焊接头的疲劳性能进行了评估. 为了克服边界条件变化的不利影响,基于线性偏微分方程边值问题的叠加原理将测量得到的原始温度数据拆分成两部分:边界条件引起的温升和能量耗散引起的温升. 在此基础上,进一步提出将能量耗散引起的温升用于疲劳性能评定. 文中就所提出的理论给出了相应的数据处理方法. 结果表明,基于经过处理的温度数据,采用经典能量耗散方法(Risitano法)对去余高接头(ground flush, GF)和原始完整接头(as-welded, AW)疲劳极限的评价结果分别为58.85和62.61 MPa,其相对于由S-N曲线获得的疲劳极限(循环周次为2 × 106)的误差分别为−11.82%和−0.03%.

     

    Abstract: The temperature rise of the material during the fatigue process is mainly caused by energy dissipation, which can be used to evaluate the fatigue performance of materials or components. However, changes in the thermal boundary conditions during the test is likely to make the evaluation result unreliable. In this paper, the fatigue performance of AZ31B magnesium alloy manual TIG welded joint was evaluated by using the temperature rise caused by energy dissipation. In order to overcome the adverse effects of changes in boundary conditions, based on the superposition principle of boundary value problem of linear partial differential equation, this paper proposes to divide the raw temperature data measured by infrared camera into two parts: temperature rise caused by boundary conditions and temperature rise caused by energy dissipation. On this basis, it is further proposed that the temperature rise caused by energy dissipation can be used to evaluate fatigue performance. Moreover, a temperature data processing method was given according to the proposed theory. The results showed that, based on the processed temperature data, the fatigue limit of the ground flush joint and the as-welded joint are 58.85 and 62.61 MPa respectively by the classical energy dissipation method (Risitano method), whose errors relative to the fatigue limit obtained by the S-N curve (2 × 106) are −11.82% and −0.03%, respectively.

     

/

返回文章
返回