高级检索

稀土、Ga元素及其协同效应对无铅钎料组织和性能的影响

Influence of rare earths, Ga element and their synergistic effects on the microstructure and properties of lead-free solders

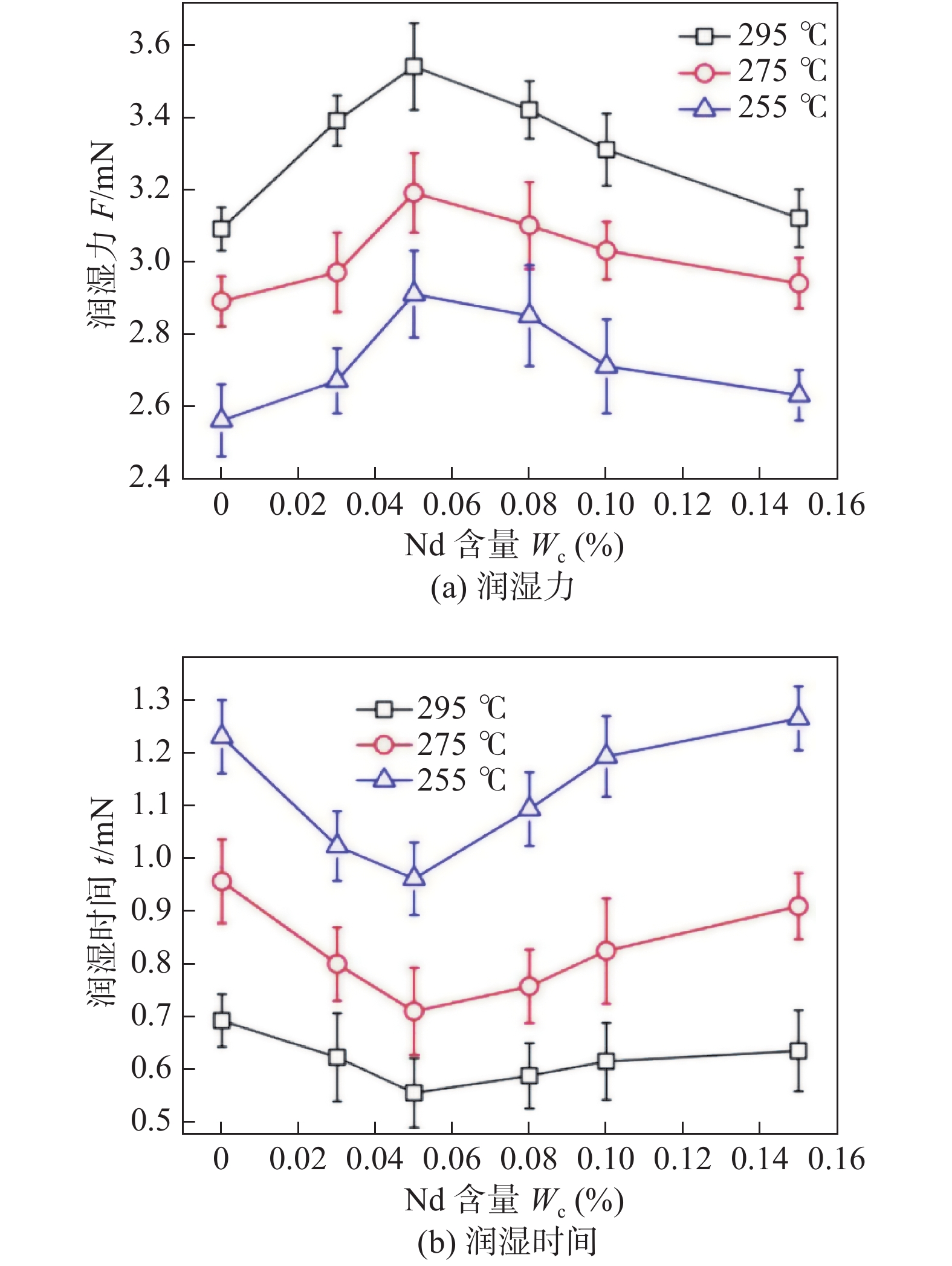
  • 摘要: 稀土元素和低熔点的Ga元素常作为合金化元素添加到无铅钎料中以提高钎料的综合性能和可靠性,而向无铅钎料中复合添加稀土元素和Ga元素时,二者的协同作用可以进一步改善钎料组织和性能,同时Ga元素可以有效抑制含稀土Nd的无铅钎料中锡须的生长. 对单独添加稀土元素和低熔点元素Ga以及复合添加稀土元素和Ga元素的协同效应对无铅钎料显微组织、润湿性能、熔化特性、力学性能和可靠性的影响进行了综述,介绍了含稀土元素的无铅钎料中锡须产生的机理及影响锡须生长的因素. 最后总结了目前含稀土元素和Ga元素的无铅钎料研究中存在的不足,并展望了未来的研究方向.

     

    Abstract: Rare earth (RE) elements and low melting-point Ga elements are often added as alloying elements to lead-free solders to improve the overall performance and reliability of the solder. When RE and Ga elements are added in combination, their synergistic effects can further improve the microstructure and properties of the solder. In particular, Ga element can effectively inhibit the growth of Sn whiskers in lead-free solders containing RE Nd. Therefore, this article reviewed the effects of RE, low melting-point Ga element and their synergistic effects on the microstructure, wettability, melting characteristics, mechanical properties and reliability of lead-free solders. What’s more, the mechanism of Sn whiskers formation in lead-free solders bearing RE and the factors affecting the growth of Sn whiskers were introduced. Finally, the deficiencies in the research of lead-free solder containing RE and Ga elements were summarized, and the future research direction was looked-ahead.

     

/

返回文章
返回