高级检索

基于小冲杆试验的固体氧化物燃料电池钎焊密封接头蠕变损伤演化规律

Study on creep damage evolution of braze sealant of solid oxide fuel cell by small punch test

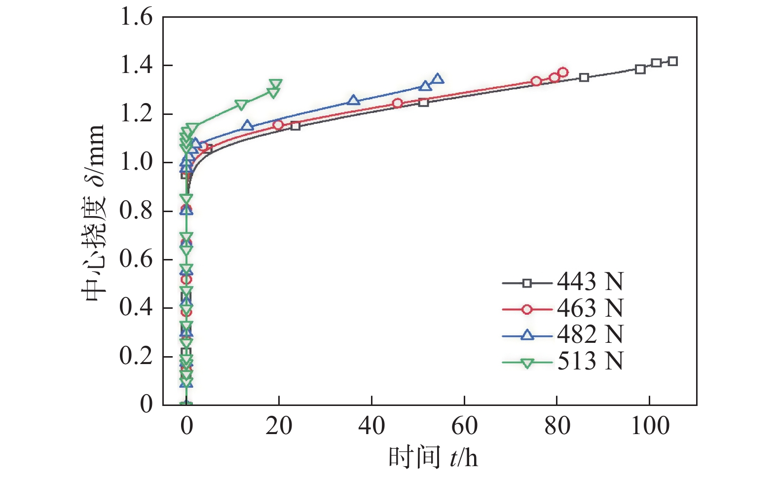
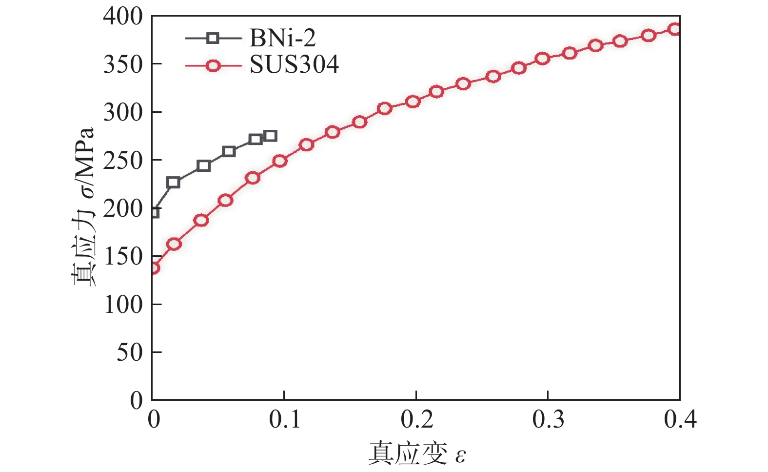
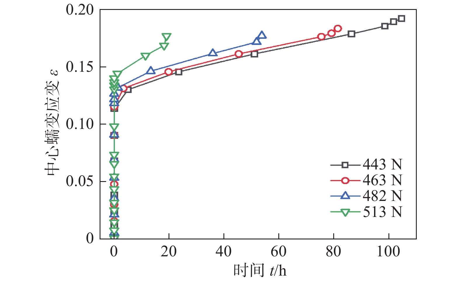
  • 摘要: 如何获得钎焊接头三明治微结构的蠕变力学性能一直以来是一个难题. 文中基于Wen-Tu蠕变延性耗竭模型开发了钎焊接头蠕变损伤子程序,利用ABAQUS有限元软件建立了与SOFC密封接头相类似的钎焊接头小冲杆模型;采用试验与有限元相结合的方法研究了以304不锈钢为母材的SOFC钎焊接头蠕变损伤特性,得到了不同载荷下钎焊接头试样中心蠕变挠度变化率和蠕变应变变化率之间关系,阐明了钎焊接头在小冲杆蠕变试验条件下的蠕变损伤及裂纹扩展规律. 结果表明,适当的增加钎料的厚度有利于提高钎焊接头的抗蠕变变形能力,延长高温蠕变断裂寿命,且钎焊接头在多轴应力作用下主要断裂方式为脆性断裂. 初始裂纹最早在母材下表面萌生,距试样中心0.85 mm处,随后向上扩展至钎料层下表面,然后在钎料层上表面出现裂纹逐渐向母材上表面与钎料层下表面扩展,直至断裂.

     

    Abstract: Obtaining the creep properties of sandwich structure of brazed joint has always been a challenge. Based on Wen-Tu creep-ductility exhaustion model, a subroutine for creep damage evolution of braze sealant of solid oxide fuel cell (SOFC) was developed in the finite element model of small punch test (SPT) using ABAQUS software. The evolution and characteristics of creep damage of the brazed joint with 304 stainless steel as base metal were studied by combining experiment and finite element analysis. The relationship between the change rate of central creep deflection and the creep strain rate of the brazed joint under different loads was obtained. The evolution of creep damage and crack propagation of brazed joint in the small punch creep test is clarified. The results show that the main fracture mode of brazed joint under multiaxial stress is brittle fracture, and the creep crack originates at the lower surface of base metal, which is 0.85 mm far away from the center of SPT specimen, and gradually propagates to the upper surface of base metal and the lower surface of the solder layer until fractures.

     

/

返回文章
返回