高级检索

超声冲击对2A12铝合金搅拌摩擦焊接头腐蚀行为的影响

Effect of ultrasonic impact treatment on corrosion behavior of FSW joints of 2A12 aluminum alloy

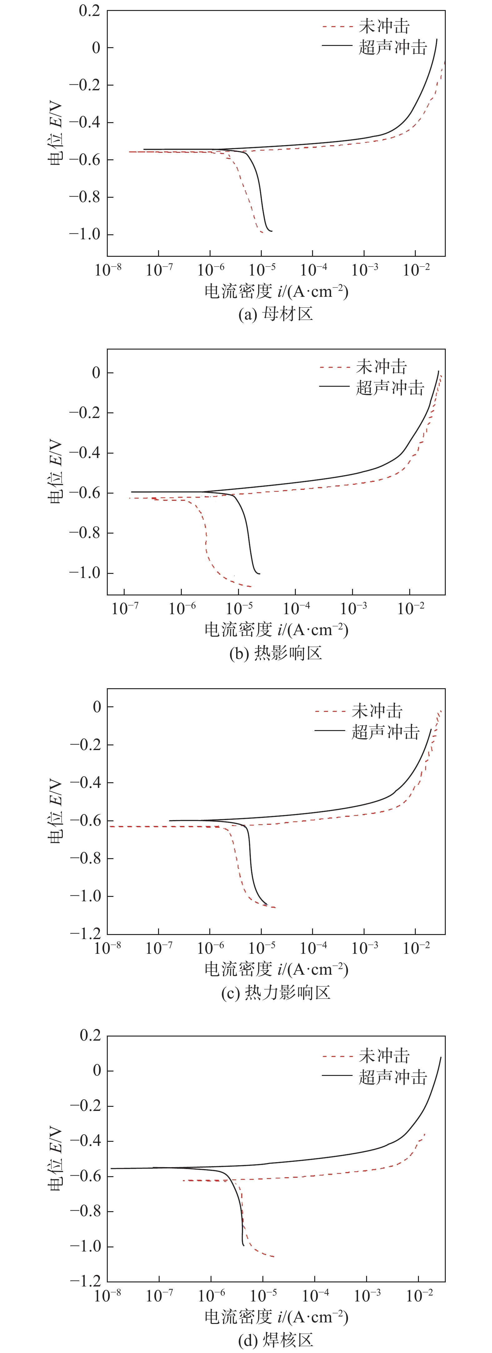
  • 摘要: 采用腐蚀挂片和动电位极化曲线测试对比研究了超声冲击前后2A12铝合金搅拌摩擦焊接头在3.5% NaCl水溶液中的腐蚀行为. 试验结果表明,超声冲击后接头的平均腐蚀速率是冲击前的1/2,未冲击试样热影响区的自腐蚀电位为−0.629 V(Ag/AgCl),腐蚀倾向最高,由点蚀和晶间腐蚀引起的腐蚀坑平均深度达到125 μm;经过超声冲击处理后,接头各区的自腐蚀电位升高,腐蚀电流密度降低,表面基本呈现均匀腐蚀的形态,最大腐蚀深度不超过40 μm. 超声冲击使材料表层晶粒发生细化和致密化,是材料耐蚀性能提高的主要原因.

     

    Abstract: In this work, the corrosion behavior of friction stir welding (FSW) joints of 2A12 aluminum alloy with and without ultrasonic impact treatment (UIT) was investigated by immersion corrosion test and polarization curve test in 3.5% NaCl aqueous solution. The results showed that the average corrosion rate of the joints with UIT was about half of that without UIT. The corrosion potential of the heat affected zone (HAZ) without UIT was −0.629 V (Ag/AgCl), indicating the worst corrosion resistance. And the average corrosion depth of HAZ induced by pitting corrosion and intergranular corrosion was about 125 μm. After UIT, the corrosion potentials of each sub-area of the FSW joints increased, and the corresponding corrosion current density decreased. The maximum depth of corrosion pit did not exceed 40 μm. The whole surface of the joint exhibited a form of uniform corrosion. Ultrasonic impact makes the surface grains of the material finer and denser, and the bond between the strengthening phase and the base metal is tighter, which is the main reason for the improvement of the corrosion resistance of the material. The main reason for the improvement of the corrosion resistance of the joints was that the grains of the material were refined and densified after UIT.

     

/

返回文章
返回