高级检索

3D打印一体化低合金钢/中碳钢枪钻界面表征

Interface characterization of integrated low alloy steel / medium carbon steel gun drill produced by 3D printing method

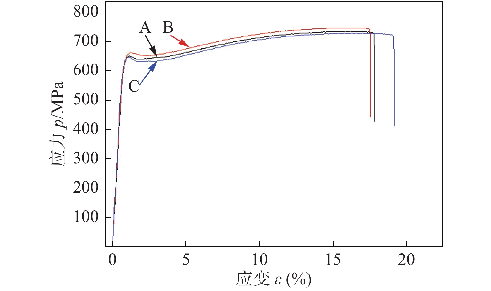
  • 摘要: 文中提出了3D打印快速一体化制造枪钻的方法,进行了中碳钢钻柄、低合金钢钻杆和钨钴硬质合金钻头组成的复合材料枪钻毛坯3D打印工艺试验研究. 采用SEM观测分析了3D打印复合材料枪钻毛坯低合金钢/中碳钢界面微观形貌和组织结构,采用EDS, XRD对枪钻毛坯低合金钢/中碳钢元素分布、界面相成分进行了测试与分析;测试分析了枪钻毛坯低合金钢/中碳钢界面缺陷、显微硬度、抗拉强度等;通过测试与分析复合材料枪钻毛坯界面的微观组织和性能,对其界面进行了表征. 结果表明,3D打印复合材料枪钻毛坯界面性能优于焊接枪钻界面,3D打印快速一体化制造枪钻的方法可行.

     

    Abstract: In this paper, the rapid and integrated manufacture method of 3D printing gun drill was put forward. The 3D printing process test of the composites gun drill composed of medium carbon steel drill shank, low alloy steel drill pipe and tungsten cobalt hard alloy drill bit was conducted. Microstructure and morphology of the composites gun drill interface between low alloy steel and medium carbon steel was analyzed using SEM. Phase composition and element distribution of the interface between low alloy steel and medium carbon steel were tested and analyzed by EDS and XRD. The defects, micro hardness and tensile strength of the interface between low alloy steel and medium carbon steel were tested and analyzed. The microstructure and properties of the interface of the composites were tested and analyzed, and the interface was characterized. The results show that the interface performance of 3D printing composites gun drill is better than that of the welding gun drill. The rapid and integrated 3D printing method is feasible for gun drill manufacture.

     

/

返回文章
返回