高级检索

国产06Ni9DR 钢焊接热影响区组织和低温韧性

Microstructure and low temperature toughness of HAZ of domestic 06Ni9DR Steel

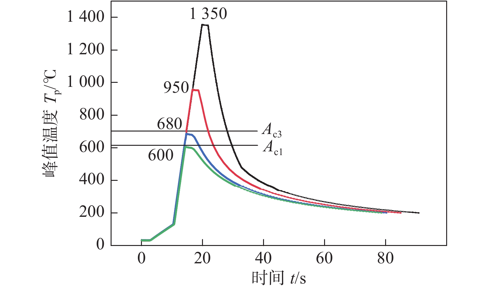
  • 摘要: 采用扫描电镜(SEM)、背散射电子衍射(EBSD)和焊接热模拟技术,研究了单次热循环不同峰值温度对国产06Ni9DR 钢焊接热影响区(HAZ)显微组织和低温冲击韧性的影响. 结果表明,06Ni9DR 钢HAZ的-196 ℃冲击吸收能量均低于母材,HAZ整体发生了脆化. 粗晶区脆化最为严重,原因是原始奥氏体晶粒粗大及其导致的有效大角度晶界较少,残余奥氏体量少且不稳定,以及较大的位错密度和粗大马氏体的存在. 晶界呈链状分布的大块逆转奥氏体和M-A组元的存在导致回火区脆化程度仅次于粗晶区. 细晶区和不完全脆化区的韧性低于母材,主要是因为淬火马氏体的存在和残余奥氏体的低温稳定性差.

     

    Abstract: Effects of peak temperatures in a single thermal cycle on the microstructure and low-temperature impact toughness of heat-affected zone (HAZ) of the domestic 06Ni9DR steel were investigated by using scanning electron microscopy (SEM) and electron backscattered diffraction (EBSD). The results show that the impact energy at −196 ℃ of the HAZ of the 06Ni9DR steel is lower than that of the base metal. The coarse-grained HAZ (CGHAZ) has the lowest impact energy. The reasons for CGHAZ embrittlement lie in the coarse original austenite grains, less resulting effective large-angle grain boundaries and unstable residual austenite, larger dislocation density, and coarse martensite. The impact energy of subcritical HAZ (SCHAZ) is only higher than that of CGHAZ due to the existence of large block reverses austenite and M-A components with chain-like distribution on the grain boundaries. The toughness of both fine-grained HAZ (FGHAZ) and inter critical HAZ (ICHAZ) is lower than that of the base metal because of the presence of retained austenite with poor low-temperature stability and quenched martensite.

     

/

返回文章
返回