高级检索

耗材摩擦焊接过程热力耦合分析

Thermo-mechanical coupling analysis of consumable-rod friction welding process

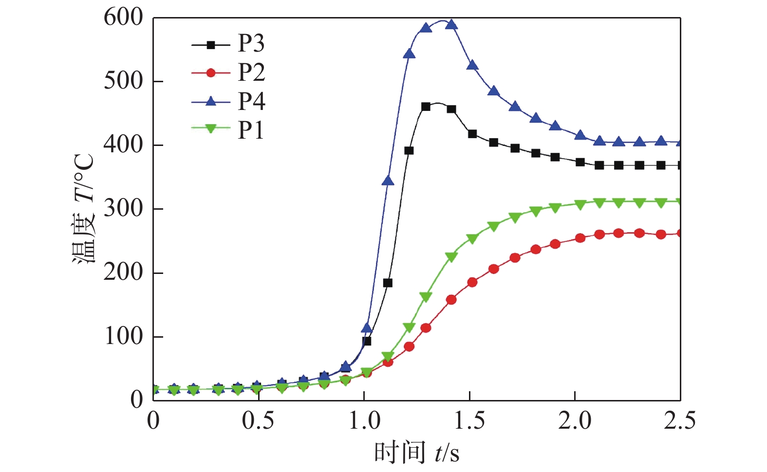
  • 摘要: 以AA6061铝合金为试验对象,基于ABAQUS/Explicit建立耗材摩擦焊三维完全热力耦合模型,分析温度场、等效塑性变形场、轴向缩短量和飞边形状,结果表明,焊接温度低于材料熔点为固相连接,焊接过程塑性金属大量挤出,形成蘑菇头形状的飞边,飞边温度处于480 ℃左右;在稳定焊接阶段,前进侧温度高于返回侧,在垂直于焊缝方向上,焊棒高温区大于焊板高温区,温度分布的不均使得涂层边缘处结合不良. 高温区域趋于稳定后,轴向缩短量和时间呈近线性关系,焊接结束时轴向缩短量为7.5 mm,高温区和塑性变形区都集中在摩擦界面附近的堆积区域.

     

    Abstract: AA6061 aluminum alloy was taken as the test object, based on ABAQUS/Explicit, a three-dimensional fully thermo-mechanical coupling model for consumable-rod friction welding was established, and the temperature field, equivalent plastic deformation field, axial shortening and flash shape were analyzed. The results shown that the solid phase bonding was achieved because the welding temperature was lower than the melting point of the material, plastic metals were extruded in large quantities to form a mushroom head shape of flash with a temperature of about 480 °C during welding process. In the stable welding stage, the temperature of the advancing side was higher than that of the retreating side. In the direction perpendicular to the welding seam, the high temperature zone of the welding rod was larger than that of the welding plate, and the uneven temperature distribution made the bonding at the edge of the coating poor. The relation between axial shortening and time is nearly linear after the high temperature region tends to be stable, and the number of axial shortening was 7.5 mm at the end of welding. Both the high temperature zone and the plastic deformation zone were concentrated in the accumulation area near the friction interface.

     

/

返回文章
返回