高级检索

Nd对Sn-0.7Cu-0.05Ni焊点组织与力学性能的影响

Effect of Nd addition on microstructure and mechanical properties of Sn-0.7Cu-0.05Ni soldered joints

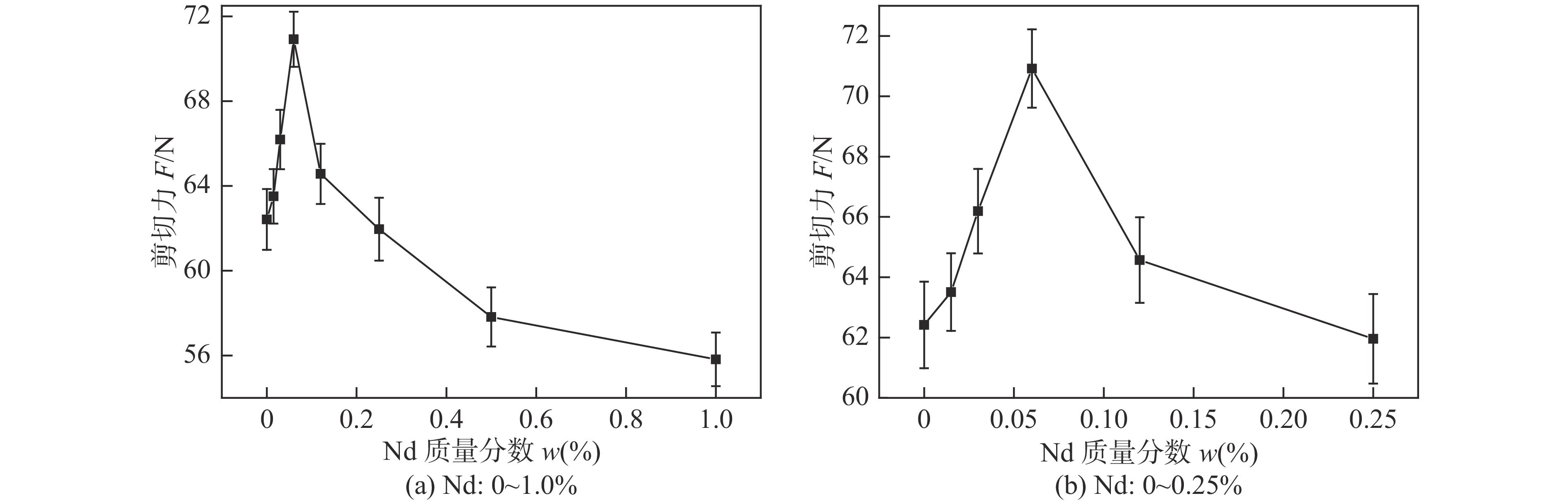
  • 摘要: 研究了添加微量稀土元素Nd对Sn-0.7Cu-0.05Ni/Cu无铅焊点再流焊和150 ℃时效条件下焊点界面组织与力学性能的影响. 结果表明,添加适量Nd(质量分数为0.06%)可以优化焊点界面组织,减缓时效过程中Sn-0.7Cu-0.05Ni/Cu界面化合物的生长速率,提高焊点力学性能,增强焊点的可靠性. 时效过程中,添加了0.06%Nd的Sn-0.7Cu-0.05Ni钎料焊点的剪切力始终保持最大,在时效1 440 h后,Sn-0.7Cu-0.05Ni-0.06Nd/Cu焊点的剪切力相比未添加稀土的Sn-0.7Cu-0.05Ni钎料提高了31.9%.

     

    Abstract: The effects of Nd addition on the microstructure and mechanical properties of Sn-0.7Cu-0.05Ni/Cu soldered joints under as-reflowed and 150 °C isothermal-aging process were investigated. The results indicated that an appropriate amount of Nd addition could obviously improve the interfacial microstructure and the mechanical properties of Sn-0.7Cu-0.05Ni soldered joints. The optimum properties were obtained while Nd addition was 0.06wt. %. Besides, the growth of the Sn-Cu-Ni/Cu intermetallic compound layer under aging process was restrained by adding 0.06wt.% Nd, which would enhance the reliability of the soldered joints during service process. After aging for 1 440 h, the shear force of Sn-0.7Cu-0.05Ni-0.06Nd soldered joints still ranked the best among all of the tested solders, increased by 31.9% compared to the Nd-free Sn-Cu-Ni soldered joints.

     

/

返回文章
返回