高级检索

镁/铝层合板FSW接头微观组织及力学性能

Microstructure and mechanical properties of FSW joint of Mg/Al clad sheets

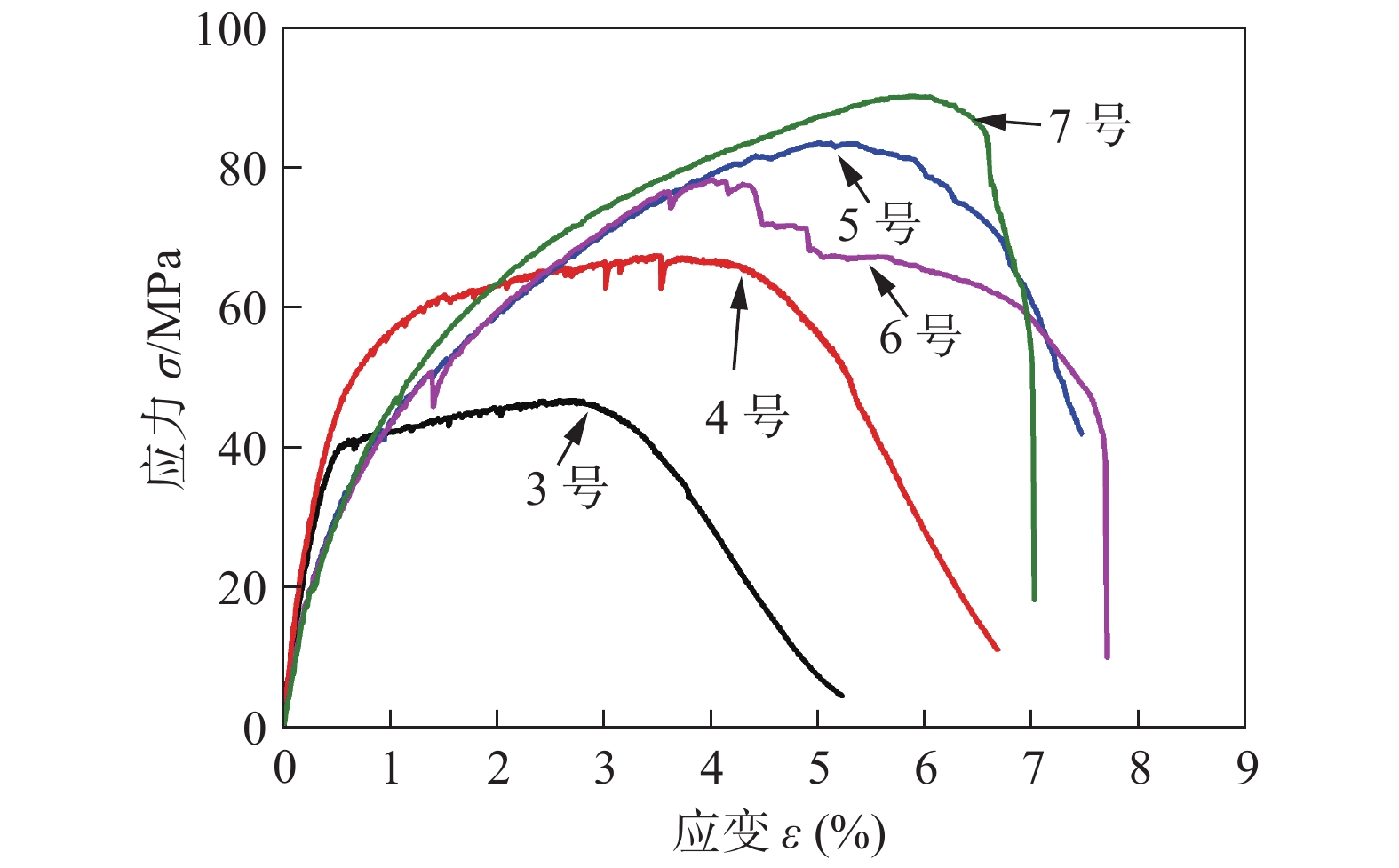
  • 摘要: 文中采用搅拌摩擦焊 (FSW)方法对Mg/Al层合板进行单面、双面对接方式焊接,对接头的微观组织和力学性能进行测试. 结果表明,随着焊接速度和搅拌针旋转速度的增加,焊缝表面成形良好,接头不同区域未见气孔、裂纹等缺陷,物相主要由Mg17Al12,Mg2Al3和MgAl等组成,接头部位的晶粒尺寸得到明显细化,产生了动态再结晶,金属间化合物的形成有利于动态再结晶的形核. Mg/Al层合板双面FSW焊接头的拉伸强度和断后伸长率高于单面焊接接头的强度和断后伸长率,主要是由于接头部位金属间化合物的数量和分布不同,抑制接头部位金属间化合物的形成有利于提高Mg/Al层合板FSW接头的性能.

     

    Abstract: The welding by one side and by both sides of Mg/Al clad sheets was conducted, and the microstructure and mechanical properties of Mg/Al clad sheets butt joints was tested using friction stir welding method.The results showed that with the increase of welding and rotating speed, the good weld surface appearance was obtained and no porosities and cracks were observed. The joint phase was mainly consisted of Mg17Al12, Mg2Al3 and MgAl phases, the size of grain is effectively refined and the dynamic recrystallization takes place. The formation of brittle intermetallic compounds is benefits to the formation of the recrystallization nucleus. Compared with joints with friction stir welding by one side, the joints of welding by both sides has much higher tensile strength and elongation due to the different distribution and quality of intermetallic compounds in welding joint. Inhibiting the formation of intermetallic compounds at the joints is beneficial to improve the performance of Mg/Al clad sheets of FSW joints.

     

/

返回文章
返回