高级检索

焊丝中Si元素含量对铝合金接头裂纹敏感性的影响规律及机理

Effect of Si content in welding wire on crack sensitivity of aluminum alloy joints and its mechanism

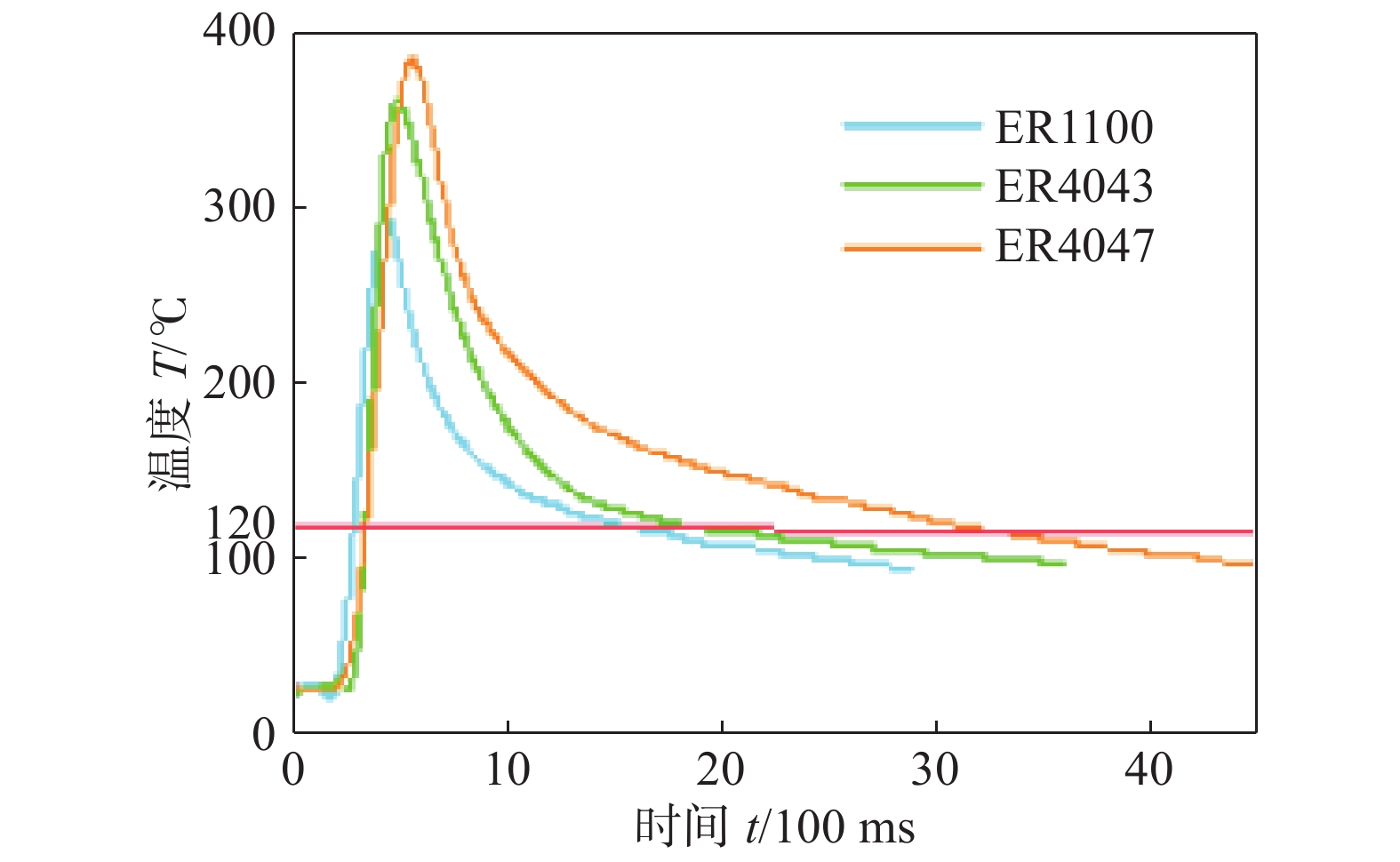
  • 摘要: 使用扫描电镜、能谱、温度场实时采集等测试方法,研究了焊丝中Si含量对AA6063铝合金GMAW焊接头热裂纹敏感性的影响规律及机理. 结果表明,当焊丝为纯铝时,鱼骨试样的焊缝中心会出现细长的焊接裂纹;当焊丝中的Si含量为4.5% ~ 6%时,裂纹的长度变短,但是开裂距离明显增加;当焊丝中的Si含量达到11% ~ 13%时,试样焊缝无裂纹出现. 随着Si含量的不断提高,合金易出现裂纹的凝固温度区间先增大后减小;焊丝中Si含量的不同还会影响凝固后期金属液的流动性,使得焊缝晶界处的物相成分和形态都有明显的区别;同时,Si含量的提高会使得接头的冷却速度先增加后减小,从而导致应力状态改变,热裂纹敏感性先升高后降低.

     

    Abstract: Using scanning electron microscopy, energy spectrum, and real-time acquisition of temperature fields, the effects and mechanisms of Si content in the welding wire on the sensitivity to thermal cracking of AA6063 aluminum alloy GMAW welded joints were studied. The results show that when the welding wire is pure aluminum, slender welding cracks appear in the center of the weld of the fishbone sample; when the Si content in the welding wire is 4.5% ~ 6%, the length of the crack is short, but the cracking distance is obviously increased; when the Si content in the welding wire reached 11% ~ 13%, no cracks appeared in the sample weld. With the continuous increase of Si content, the solidification temperature range of alloy prone to crack increases first and then decreases. The difference of Si content in welding wire will also affect the fluidity of molten metal at the later solidification stage, making the phase composition and morphology at the grain boundary of weld obviously different. At the same time, the increase of Si content will make the cooling rate of the joint increase first and then decrease, thus causing the stress state to change, and the thermal crack sensitivity increases first and then decreases.

     

/

返回文章
返回