高级检索

先进高强钢电阻点焊接头的断裂模式分析与预测

Failure mode analysis and prediction of resistance spot welding joints of advanced high strength steel

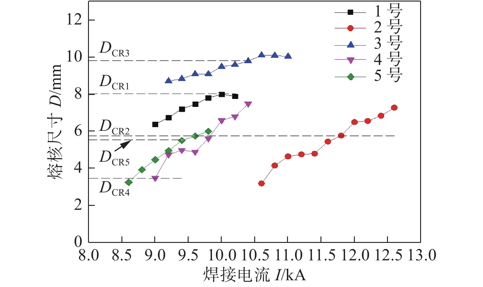
  • 摘要: 研究了先进高强钢(advanced high strength steel, AHSS)两层板电阻点焊接头的断裂模式,不同的断裂模式会影响点焊接头断裂时的机理、力学性能及断裂位置,基于不同组合下的临界熔核尺寸、最大载荷、断口宏观形貌、初始断裂位置、宏观金相组织以及微观硬度曲线等试验结果,阐明了板材厚度和板材强度两类因素对于断裂模式的影响规律. 结果表明,板材强度因素会直接影响断裂模式、初始断裂位置以及最大载荷;板材厚度因素影响断裂模式但不改变初始断裂位置及最大载荷. 临界熔核尺寸的影响因素有板材厚度、板材强度、熔核中缺陷以及拔出断裂位置距熔合线的距离. 在此基础上,文中提出了临界熔核尺寸(DCR)的预测模型及预测方法,该方法与试验值符合较好,为实际工业应用中的临界熔核尺寸判定提供了理论依据.

     

    Abstract: The failure modes of two-sheet resistance spot welded joints of advanced high strength steel (AHSS) have been studied. Different failure modes of welded joints will affect the failure mechanism, mechanical properties and fracture location. Based on the experiments results of critical nugget size, peak load, macroscopic fracture morphology, failure initiation location, microstructure and micro-hardness curve in different groups, the influences of sheet strength factor and sheet thickness factor on the failure mode are illustrated. The results show that the sheet strength directly affects the failure mode, the failure initiation location and the peak load. Also the sheet thickness affects the failure mode but does not change the initial fracture location and the peak load. The factors influencing the critical nugget size (DCR) include the sheet thickness, the sheet strength, the defects in the nugget and the distance from the fusion line at the position where the failure is pulled out. On the basis, a prediction model and method of the critical nugget size is proposed, which is in good agreement with the experimental results. And it provides a theoretical evidence for the determination of critical nugget size in practical industrial applications.

     

/

返回文章
返回