高级检索

钛/铝双面冷弧MIG组合熔钎焊接头组织和性能

Microstructure and properties of Ti/Al joint using double-sided cold arc MIG welding-brazing

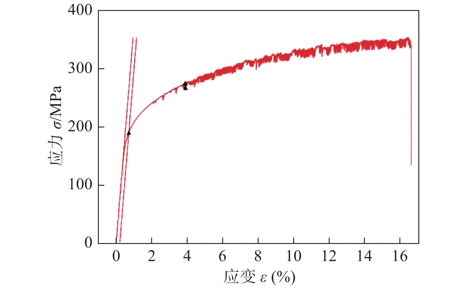
  • 摘要: 采用SAl5183焊丝对TA2钛和5A06铝合金进行了双面冷弧MIG组合焊接. 对接头厚度方向不同位置的Ti/Al界面组织特性进行了分析;并对接头抗拉强度进行了测试. 结果表明,试验工艺获得的接头中,钛与焊缝形成了平直的结合界面,界面处未发现剥离、裂纹等缺陷. 受焊接热输入影响,形成两种不同的Ti/Al界面:接头中上部钛与焊缝之间形成了Ti3.3Al,TiAl3双层结构,其它位置仅形成一层牙状TiAl3;所形成的界面反应层在接头中上部最厚,底部最薄. 拉伸测试中,接头多断裂于Ti/Al界面附近,所获接头最高抗拉强度可达355 MPa.

     

    Abstract: Double-sided cold arc MIG welding of TA2 Ti and 5A06 Al alloy was carried out with SAl 5183 welding wire. The microstructure characteristics of Ti/Al interface in different thickness direction were analyzed and the tensile strength of the joint was tested. The results showed that the bonding interface between titanium and weld was sharp and clear, no porosity and cracks were found near the interface. Under the influence of welding heat input, two different Ti/Al interfaces were formed: a Ti3.3Al layer and a TiAl3 layer were formed between titanium and weld in the upper part of the joint, only one dentate layer was formed in other parts of the joint. The joints were mostly fractured near the Ti/Al interface during tensile test. The ultimate tensile strength of the joints was 355 MPa.

     

/

返回文章
返回