高级检索

光谱诊断辅助水下湿法焊接等离子体成分计算

Spectral diagnosis assisted underwater wet welding plasma composition calculation

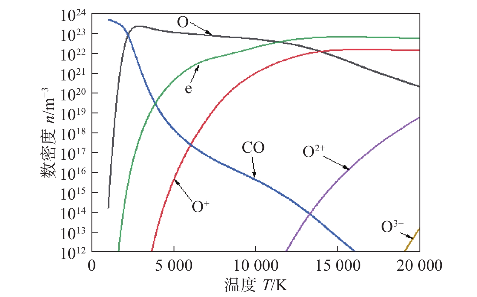
  • 摘要: 对水下湿法焊接等离子体成分的计算一直很少,文中通过搭建水下湿法焊接试验平台,对电弧光谱信息进行采集分析,根据诊断的结果及气泡成分的研究,确定了计算中所考虑的粒子. 在此基础上,通过对水下湿法焊接电弧等离子体的平衡方程的分析,基于质量作用定律,选择五种基本粒子,将其它粒子用这五种基本粒子表示,代入守恒方程组,在特定的压力和温度下计算了各个粒子的数密度,这种方法和传统的通过求解Saha方程等守恒方程组得到等离子体粒子数密度不同. 结果表明,不同温度区占据主要成分的粒子不同,对电弧等离子体产生的影响也不同,既可以为进一步研究水下湿法焊接电弧稳定性及焊接质量提供理论依据及基础,也可以和光谱信息结合进行温度计算及主要温度区间的粒子确定.

     

    Abstract: There has been very little calculation of the composition of underwater wet welding plasma. The article collects and analyzes the arc spectral information by setting up an underwater wet welding experiment platform. Based on the results of the diagnosis and the study of the bubble composition, the particles considered in the calculation were determined. On this basis, Analysis of the equilibrium equation of underwater arc welding by arc plasma, Based on the law of mass action, five basic particles are selected, and other particles are represented by these five basic particles, substituted into the conservation equations, and the number density of each particle is calculated under specific pressure and temperature. This method and the traditional method of solving the Saha equation and other conservation equations to obtain different plasma particle density. The results show that the particles occupying the main components in different temperature zones have different effects on arc plasma. It can provide theoretical basis and basis for further study of underwater wet welding arc stability and welding quality, and can also be combined with spectral information for temperature calculation and particle determination in main temperature range.

     

/

返回文章
返回